Issue 17, 2023

One-step synthesis of favipiravir from Selectfluor® and 3-hydroxy-2-pyrazinecarboxamide in an ionic liquid

Abstract

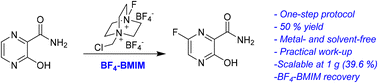
Favipiravir is an important selective antiviral that emerged as an alternative against COVID-19 during the pandemic. Its synthesis has gained great interest and the conventional strategies proceed through multiple-step protocols (6–7 reaction steps), which involve, in addition, several drawbacks with global yields, lower than 34%. Herein, a simple, economical, eco-friendly and scalable (1 g) one-step protocol for the synthesis of favipiravir from the direct fluorination of the available 3-hydroxy-2-pyrazinecarboxamide with Selectfluor® is reported. The reaction proceeds easily in BF4-BMIM through a simple operational work-up, affording the favipiravir with a yield of 50% without the need of a special catalyst/additive. The key point of the present strategy was the use of the ionic liquid of BF4-BMIM, which helps to minimize the several chemical limitations derived from 3-hydroxy-2-pyrazinecarboxamide as a substrate for the direct Selectfluor-mediated fluorination. All these chemical reactivity aspects are also discussed in detail.

Graphical abstract: One-step synthesis of favipiravir from Selectfluor® and 3-hydroxy-2-pyrazinecarboxamide in an ionic liquid

Supplementary files

Article information

Article type
Paper
Submitted
10 Mar 2023
Accepted
03 Apr 2023
First published
04 Apr 2023

Org. Biomol. Chem., 2023,21, 3660-3668

One-step synthesis of favipiravir from Selectfluor® and 3-hydroxy-2-pyrazinecarboxamide in an ionic liquid

G. Fuentes, M. F. García, H. Cerecetto, G. Álvarez, M. Couto and A. H. Romero, Org. Biomol. Chem., 2023, 21, 3660 DOI: 10.1039/D3OB00380A

To request permission to reproduce material from this article, please go to the Copyright Clearance Center request page.

If you are an author contributing to an RSC publication, you do not need to request permission provided correct acknowledgement is given.

If you are the author of this article, you do not need to request permission to reproduce figures and diagrams provided correct acknowledgement is given. If you want to reproduce the whole article in a third-party publication (excluding your thesis/dissertation for which permission is not required) please go to the Copyright Clearance Center request page.

Read more about how to correctly acknowledge RSC content.

Social activity

Spotlight

Advertisements