Issue 41, 2020

Evidence for an enolate mechanism in the asymmetric Michael reaction of α,β-unsaturated aldehydes and ketones via a hybrid system of two secondary amine catalysts

Abstract

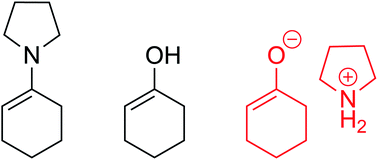
The key nucleophile was found to be neither an enamine nor an enol, but an enolate in the direct Michael reaction of α,β-unsaturated aldehydes and non-activated ketones catalyzed by two amine catalysts namely diphenylprolinol silyl ether and pyrrolidine. This is a rare example of an enolate from a ketone serving as a key intermediate in the asymmetric organocatalytic reaction involving secondary amine catalysts because the ketone enolates are generally generated using a strong base, and the enamine is a common nucleophile in this type of reaction.

Graphical abstract: Evidence for an enolate mechanism in the asymmetric Michael reaction of α,β-unsaturated aldehydes and ketones via a hybrid system of two secondary amine catalysts

Supplementary files

Article information

Article type
Edge Article
Submitted
17 Jun 2020
Accepted
18 Sep 2020
First published
21 Sep 2020
This article is Open Access

All publication charges for this article have been paid for by the Royal Society of Chemistry
Creative Commons BY license

Chem. Sci., 2020,11, 11293-11297

Evidence for an enolate mechanism in the asymmetric Michael reaction of α,β-unsaturated aldehydes and ketones via a hybrid system of two secondary amine catalysts

N. Umekubo, T. Terunuma, E. Kwon and Y. Hayashi, Chem. Sci., 2020, 11, 11293 DOI: 10.1039/D0SC03359F

This article is licensed under a Creative Commons Attribution 3.0 Unported Licence. You can use material from this article in other publications without requesting further permissions from the RSC, provided that the correct acknowledgement is given.

Read more about how to correctly acknowledge RSC content.

Social activity

Spotlight

Advertisements