Copper-catalyzed asymmetric hydrogenation of 2-substituted ketones via dynamic kinetic resolution†
Abstract
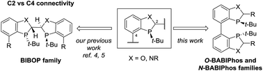
A new class of tunable heterophosphole dimeric ligands have been designed and synthesized. These ligands have enabled the first examples of Cu-catalyzed hydrogenation of 2-substituted-1-tetralones and related heteroaryl ketones via dynamic kinetic resolution, simultaneously creating two contiguous stereogenic centers with up to >99 : 1 dr and 98 : 2 er. The ligand-Cu complexes were isolated and characterized by single crystal X-ray, and DFT calculations revealed a novel heteroligated dimeric copper hydride transition state.
- This article is part of the themed collection: Most popular 2018-2019 main group, inorganic and organometallic chemistry articles

Please wait while we load your content...