Issue 27, 2015

Facile synthesis of meso-structured Pd/FeOx and its highly catalytic performance for low temperature CO oxidation under ambient conditions

Abstract

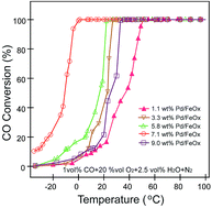
A series of meso-structured Pd/FeOx catalysts were successfully fabricated through a facile pyrolysis and in situ reduction strategy. The as-prepared materials possessed relatively high surface area and highly dispersed Pd species, and exhibited excellent low temperature CO oxidation properties under ambient conditions. Complete CO conversion could be achieved at as low as 0 °C, when 2.5 vol% H2O was introduced into the feed gas. In situ DRIFT analysis proved that these excellent catalytic properties can be attributed to the promotion of the water molecules and the synergetic effect between Pd nanoparticles and the meso-structured FeOx support.

Graphical abstract: Facile synthesis of meso-structured Pd/FeOx and its highly catalytic performance for low temperature CO oxidation under ambient conditions

Supplementary files

Article information

Article type
Paper
Submitted
20 Jan 2015
Accepted
17 Feb 2015
First published
17 Feb 2015

RSC Adv., 2015,5, 20650-20655

Author version available

Facile synthesis of meso-structured Pd/FeOx and its highly catalytic performance for low temperature CO oxidation under ambient conditions

L. Li, G. Li, Y. Yuan and Y. Li, RSC Adv., 2015, 5, 20650 DOI: 10.1039/C5RA01118C

To request permission to reproduce material from this article, please go to the Copyright Clearance Center request page.

If you are an author contributing to an RSC publication, you do not need to request permission provided correct acknowledgement is given.

If you are the author of this article, you do not need to request permission to reproduce figures and diagrams provided correct acknowledgement is given. If you want to reproduce the whole article in a third-party publication (excluding your thesis/dissertation for which permission is not required) please go to the Copyright Clearance Center request page.

Read more about how to correctly acknowledge RSC content.

Social activity

Spotlight

Advertisements