Issue 47, 2025

Triazine-ring protonation enables synergistic enhancement of proton conduction and membrane stability

Abstract

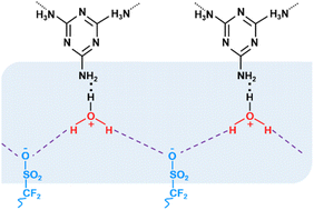
The power conversion efficiency of proton exchange membrane fuel cells (PEMFCs) is directly determined by proton-conduction-attributed current across conventional perfluorosulfonic acid (PFSA) membranes. Incorporation of fillers is frequently proposed to increase the in-membrane active sites and proton conduction, but the enhancement typically sacrifices membrane stability due to the phase separation and structural defects introduced by the fillers. Herein, we integrate a high polarity supramolecular complex, specifically melamine trithiocyanuric acid (MT), into PFSA to create a homogeneous composite proton exchange membrane (PEM) using molecular-level hybridization. In the composite PEM, the protonated triazine ring (PTR) of MT forms heterogeneous distribution regions featuring SO3–H3O+–PTR interfaces with hydrated PFSA. This phenomenon arises from the alkaline property of pyridine-like nitrogen, whose lone-pair electrons do not participate in the conjugated system. These regions not only provide a facile proton transfer pathway with a high mean square displacement (MSD) of 1.63 × 10−8 cm2 s−1, but also enhance proton conduction via the Grotthuss mechanism through moderately strengthened, dynamically stable multiple hydrogen-bond interactions. This composite PEM demonstrates an excellent proton conductivity of 0.249 S cm−1 at 90 °C, and achieves a power density of 1416 mW cm−2 at 70 °C in a hydrogen fuel cell. The 72-hour Fenton degradation test exhibits a mass loss of only 13.8 wt%.

Graphical abstract: Triazine-ring protonation enables synergistic enhancement of proton conduction and membrane stability

Supplementary files

Article information

Article type
Edge Article
Submitted
21 Jul 2025
Accepted
23 Oct 2025
First published
31 Oct 2025
This article is Open Access

All publication charges for this article have been paid for by the Royal Society of Chemistry
Creative Commons BY license

Chem. Sci., 2025,16, 22291-22298

Triazine-ring protonation enables synergistic enhancement of proton conduction and membrane stability

Y. Dong, H. Xie, Y. Han, Q. Li, J. Han and W. He, Chem. Sci., 2025, 16, 22291 DOI: 10.1039/D5SC05445A

This article is licensed under a Creative Commons Attribution 3.0 Unported Licence. You can use material from this article in other publications without requesting further permissions from the RSC, provided that the correct acknowledgement is given.

Read more about how to correctly acknowledge RSC content.

Social activity

Spotlight

Advertisements