Abstract
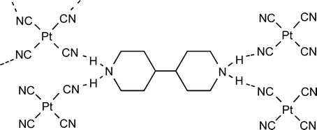
The use of molecular tectons (building blocks) able to form cyano-based hydrogen bonded synthons (NH⋯NC) to synthesise a diverse range of crystal structures is described. Square planar dianionic metal complexes with 4 terminal cyano groups are shown to form salts with the dications [4,4′-H2bipy]2+ and [4,4′-H2bipip]2+ in which hydrogen bond networks of varying dimensionality are formed. The structures of new salts of these
- This article is part of the themed collection: New Trends in Crystal Engineering
Please wait while we load your content...