Two decades of the synthesis of mono- and bis-aminomercapto[1,2,4]triazoles
Abstract
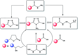
4-Amino-5-mercapto[1,2,4]triazole and its 3-substituted derivatives have proven to be of biological interest and provide access to a new class of biologically active heterocyclic compounds for biomedical applications. This study will be helpful for scientific researchers interested in the chemistry of bifunctional versatile compounds as it provides a collection of all the methods for the preparation of 3-substituted-4-amino-5-mercapto[1,2,4]triazoles with aliphatic, aromatic, and heterocyclic moieties during the period from 2000 to mid-2020.
- This article is part of the themed collection: 2020 Reviews in RSC Advances

Please wait while we load your content...