A fast and highly selective Congo red adsorption material based on a cadmium-phosphonate network†
Abstract
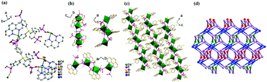
In this work, a cadmium-phosphonate network was prepared based on a tetrahedral shaped tetraphosphonic acid linker. The resulting three-dimensional compound Cd4(H4L)2(phen)2(H2O)4 (1) exhibited a rapid and efficient adsorption of Congo red (CR) dye, the adsorption capacity of which reached 684 mg g−1. Furthermore, this adsorbent showed excellent structural stability and adsorptive recyclability after three times of adsorption and desorption. The absorption kinetics fitted well with the pseudo-second-order kinetic model, revealing that the adsorption of the cadmium-phosphonate compound undergoes a chemical process, where hydrogen bonding between the amide groups (from CR) and the uncoordinated phosphonate oxygen atoms of the compound plays a pivotal role.
- This article is part of the themed collection: Inorganic Porous and Layered Material