Strong coupling between resonators and spin ensembles in the presence of exchange couplings†
Abstract
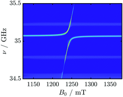
Molecular qubits are extensively tunable, in contrast to other spin qubits. The use of spin ensembles as quantum repeaters in quantum communication relies on strong coupling between photon and spin modes. Here we show that the effective coupling strength depends on the magnetic interactions between the spins in the ensemble.

Please wait while we load your content...