Acid-mediated formation of trifluoromethylsulfonates from sulfonic acids and a hypervalent iodine trifluoromethylating agent†‡
Abstract
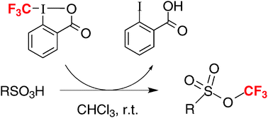
A variety of
- This article is part of the themed collection: Selective Catalysis for Organic Synthesis
* Corresponding authors
a
Department of Chemistry and Applied Biosciences, Swiss Federal Institute of Technology, ETH Zurich, 8093 Zurich, Switzerland
E-mail:
atogni@ethz.ch
Fax: +41(0) 44-632-1310
Tel: +41(0) 44-632-2236
A variety of
Please wait while we load your content...
Something went wrong. Try again?
R. Koller, Q. Huchet, P. Battaglia, J. M. Welch and A. Togni, Chem. Commun., 2009, 5993 DOI: 10.1039/B913962A
To request permission to reproduce material from this article, please go to the Copyright Clearance Center request page.
If you are an author contributing to an RSC publication, you do not need to request permission provided correct acknowledgement is given.
If you are the author of this article, you do not need to request permission to reproduce figures and diagrams provided correct acknowledgement is given. If you want to reproduce the whole article in a third-party publication (excluding your thesis/dissertation for which permission is not required) please go to the Copyright Clearance Center request page.
Read more about how to correctly acknowledge RSC content.
Fetching data from CrossRef.
This may take some time to load.
Loading related content