Mehmet Onur
Arıcan
a,
Tuğba
Koldankaya
a,
Serap
Mert
abc,
Handan
Çoban
d,
Sezgi
Erdoğan
a and
Olcay
Mert
*ad
aDepartment of Polymer Sci. and Technol., Kocaeli University, 41001, Kocaeli, Turkey. E-mail: olcay.mert@kocaeli.edu.tr; Tel: +902623032018
bCenter for Stem Cell and Gene Therapies Res. and Pract., Kocaeli University, Turkey
cDepartment of Chemistry and Chemical Processing Technol., Kocaeli University, Turkey
dDepartment of Chemistry, Kocaeli University, Turkey
First published on 13th February 2023
In conjunction with the rise in cancer incidence-mortality and handicaps of conventional poly(ethylene glycol)-based polylactide, poly(lactide-co-glycolide), or poly(ε-caprolactone) (PEG-based PLA, PLGA, or PCL) injectable thermoresponsive hydrogel platforms, formulating novel biomaterials exploiting sustainable resources for local drug release purposes has currently become critical. From this point of view, we synthesized MePEG–poly(menthide) (MePEG–PM) diblock and poly(menthide)–PEG–poly(menthide) (PM–PEG–PM) triblock copolymers through ring-opening polymerization of (−)-menthide (70%), acquired from (−)-menthone, a readily accessible ketone derivative of the natural product (−)-menthol, using MePEG and PEG as initiators and Sn(Oct)2 as a catalyst with high conversions (>97%), narrow molecular weight distributions (1.12–1.22), and monomodal GPC traces. The molecular weights of MePEG–PM diblock and PM–PEG–PM triblock copolymers evaluated by GPC and calculated from 1H NMR were close to the theoretical values and increased linearly with increasing monomer-to-initiator ratios. Structural determination of the copolymers was performed by comprehensive analyses via two-dimensional 1H–1H COSY and 1H–13C HMQC techniques. The critical point in the thermoresponsive phase transition behavior was found to be the length of the PM component, which was meticulously tuned during the synthesis of MePEG–PM and PM–PEG–PM. Specifically, injectable thermoresponsive hydrogels based on these diblock and triblock copolymers prepared with lower (Me)PEG/PM ratios were found to be suitable copolymer formulations for local therapy applications as they showed fluid characteristics (sol form) at around 40–44 °C and turned into a gel form after cooling to body temperature. Moreover, the hydrolytic degradation of block copolymers in PBS at two different pH values (6.5 and 7.4) at 37 °C resulted in very high degradations (>50% at 30 days), indicating quite impressive results considering the copolymers to be used in local drug delivery systems.
Injectable polymeric hydrogels are in the form of a fluid aqueous solution prior to administration, but when injected, they show rapid gel formation under physiological conditions.8–11 There are two main categories of injectable hydrogels, physical and chemical, depending on the type of cross-linking. Chemically cross-linked hydrogels are formed using Schiff bases, enzymes, Michael-addition reactions, and photopolymerization. However, the applications of chemically cross-linked hydrogels are restricted by the necessity for enzymes, crosslinking chemicals, photoinitiators, and/or organic solvents during the fabrication process despite their high mechanical characteristics. On the other hand, physically cross-linked ones can be fabricated in response to environmental conditions including the pH, temperature, glucose, electric field, magnetic field, or combinations of these by using amphiphilic block copolymers. They do not involve any chemical reaction, thus providing a mild environment during the preparation of hydrogels. Moreover, the biocompatibility problems caused by monomer or initiator residues observed in some chemical cross-linked hydrogels are not encountered in physically cross-linked hydrogels.8,11,12 In particular, temperature-responsive hydrogels have received a lot of attention as injectable materials owing to their self-gelling characteristics exploiting body temperature without requiring any extra chemical treatment among stimulus-responsive physically cross-linked hydrogels. These in situ hydrogel systems used in drug release offer easy production with low cost, as well as fast, painless, and easy application thanks to small needle sizes. Before the administration, the carrier is in a flowable form with a low viscosity, making the process easier and not too painful for the patient, and gelation occurs at the tumor site just after being administered in the fluid form.8,11,13
Temperature-dependent reversible gel to sol transitions of the block copolymers consisting of PEG and biodegradable polyester were drastically influenced by the copolymer concentration in an aqueous phase. Accordingly, the concentrated copolymer solutions form a gel at a lower temperature and a sol at a higher temperature.14–16 At high concentration levels, the hydrophobic segments of block copolymer chains associate with each other through hydrophobic–hydrophobic interactions, that is, by packing of the hydrophobic polyester blocks, resulting in copolymer gelation. However, the chain packing structure of the gel could be disrupted by the partial dehydration and shrinkage of the PEG chains at elevated temperatures, resulting in a decrease in micelle volume. This reduces the attractive forces between micelles and allows the gel to flow. The second important point in the fluidization of the gel is that chains in the polyester–PEG block copolymer are prone to be more mobile and diffusible at high temperatures.16
The first study on temperature-responsive hydrogel platforms was carried out using poly(N-isopropyl acrylamide) (PNIPAAm) in 1967, and the reversible phase transition behavior of PNIPAAm was investigated.17,18 PNIPAAm and its copolymers are one of the most employed polymers for utilization in the area of drug delivery systems.9 However, it should be considered that PNIPAAm-based hydrogels are not biodegradable, and thus may accumulate in the body and cause toxic effects.12,17 Pluronic or poloxamer triblock copolymers, poly(ethylene glycol)/poly(propylene glycol) (PEG/PPG), as potential drug carriers are also quite widely studied because they have excellent biocompatibility and temperature responsive characteristics. Nonetheless, PEG/PPG-based copolymers suffer from their non-biodegradability, high permeability, short retention times of a few days in the body (i.e., they show rapid gel-erosion properties, thus not suitable for long-term drug release applications), and poor mechanical properties.17,19,20 Therefore, extensive efforts have been made to incorporate biodegradable fractions into PEG blocks to formulate biodegradable injectable systems.
Jeong et al. first synthesized PEG–PLLA diblock and PEG–PLLA–PEG triblock copolymers having sol–gel transition with decreasing temperature in 1997.14 This pioneering work of Jeong et al. started a new trend for injectable biomaterials, and subsequently many biodegradable injectable systems have been prepared with various macromolecular structures such as diblock, triblock, multiblock, and graft architectures.11 In a study carried out by our group, temperature-responsive PLLA–mPEG (polylactide–methoxy poly(ethylene glycol)) was employed to prevent the conversion of a biologically active lactone form of camptothecin (CPT) and topotecan (TPT) anticancer drugs into their toxic carboxylate form in aqueous medium at pH 7.4.21 Nevertheless, PLA based copolymers were not convenient for applications requiring short-term drug release due to the semicrystalline nature of PLA units.22 Hydrogels produced from PEG-based poly(lactide-co-glycolide) (PLGA) copolymers are another popular class of temperature-responsive biodegradable injectable systems. Zentner et al. compared the release behavior of a paclitaxel anti-cancer drug from poloxamer F-127 and PLGA–PEG–PLGA (23 wt%, OncoGel™: Regel®/paclitaxel) and found that paclitaxel is released from pluronic F-127 and PLGA–PEG–PLGA in one day and approximately 50 days, respectively.23 This result indicates that the PLGA–PEG–PLGA hydrogel provides a better and more controlled release of paclitaxel. In another study, the local simultaneous release of OncoGel™ and temozolomide dramatically prolongs the survival of a rodent 9L gliosarcoma model without any systemic or neurological toxicity.24 However, transferring or weighing PLGA-based temperature-responsive copolymers is often problematic because of their sticky paste morphology. Additionally, the requirement of several hours for PLGA–PEG–PLGA triblock copolymers to dissolve in water and an extremely slow redissolution/reconstitution process limit their biomedical applications.25,26
Although plenty of PLA- and/or PLGA-based temperature-responsive hydrogels have been reported as injectable hydrogels so far, these kinds of systems still have some limitations as aforementioned. For this reason, new kinds of hydrogel platforms, poly(substituted glycolide)-based (PSG) biomaterials, were prepared by our group to tailor the characteristics of PLA- and/or PLGA-hydrogels in a controlled manner and investigate their biological functions via leveraging the chemical strategies.22,27,28 In the first study, the temperature-responsive features of poly(diisopropyl glycolide)–PEG (PDIPG–PEG) di- and tri-block copolymers were examined for localized drug delivery purposes. However, 57% of paclitaxel was released in two months from the prepared paclitaxel-loaded PDIPG–PEG hydrogels owing to the semicrystalline structure of PDIPG blocks.28 In another study conducted by our group, amine-functionalized PLA–PEG block copolymers were designed to address the problems caused by non-functionalized PLA and PLGA copolymers such as not enough binding sites for biological molecules except for end groups, slow biodegradation, and a slow drug release profile due to high hydrophobicity. When amine-functional PLA–PEG hydrogels were compared with traditional PLA–PEG hydrogels, more effective drug release behavior (up to 95% drug release was achieved at the end of 20 days while this rate is 29% in PLA–PEG hydrogels) and faster degradation in the hydrolytic medium (at the end of 1 month, 47% degradation of amine-functional PLA–PEG copolymers vs. 13.8% degradation of PLA–PEG copolymers) were achieved.27 However, the biggest challenge of these biomaterials is the necessity of the protection of the amine group before the polymerization because unprotected monomers undoubtedly impede the polymerization due to the free amine groups.27 Recently, we engineered temperature-responsive hydrogel-based systems comprising (Me)PEG–PIBL block copolymers using an isobutyl lactide (or isobutyl-methyl glycolide, IBL) monomer with similar strategies as in previous studies.27,28 These systems were found to exhibit a quite good gel–sol transition behavior when heated to around physiological temperature for use in stimulus-responsive local site drug delivery targets. In addition, a more effective drug release profile was achieved with these PIBL-based hydrogels compared to PLA-based systems (5.7% versus 57% at two weeks) because of the intrinsic features of PIBL blocks (i.e., lower glass transition temperature and amorphous structure). Furthermore, there was no cell damage or cell morphological changes when a triblock copolymer was employed in in vitro cell viability assays for testing human primary dermal fibroblasts and L929.22 On the other hand, the degradation of PLA, PLGA, and PSGs (i.e., PDIPG, P(Z)NEtMG (amine-functional PSG), and PIBL) to lactic acid or glycolic acid derivatives resulted in the accumulation of these acids which sometimes leads to the denaturation of biomacromolecules.20,29
To address the problems arising from the above-mentioned PEG–PLA, PEG–PLGA, and PSG copolymers, another important strategy is the production of temperature-responsive hydrogels using hydrophilic PEG and poly(ε-caprolactone) (PCL), an FDA-approved polymer widely studied in biomedical applications. PEG-based PCL hydrogels offer a wide gelation range and are softer. Therefore, one of the advantages of this system over the PLA/PLGA system is the ease of injection without needle clogging.20,26,29 On the other hand, the most important disadvantage of PCL is that it is obtained from petroleum-based sources. Therefore, new chemical-based products are being manufactured utilizing feedstocks from plants as alternative sustainable resources in response to the negative environmental impacts of oil-based materials.
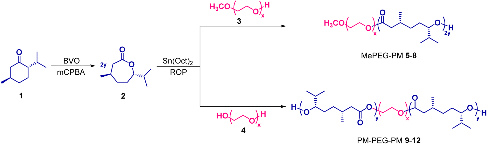
Our primary initial focus was to design and fabricate injectable thermoresponsive hydrogel platforms from sustainable resources for local drug delivery purposes. To this end, research interest in the preparation of polymeric materials with equivalent or better features exploiting renewable monomers is expanding. Terpenes and terpenoids are valuable substances in this setting due to their variety and abundance.30 (−)-Menthol, a natural material valued for its cooling properties when inhaled or administered to the skin, is one example of such a resource. Every year, large quantities of (−)-menthol are extracted from the Mentha arvensis plant for use in the medicinal, flavor and fragrance, and confectionery sectors. Numerous biosynthetic derivatives of (−)-menthol are accessible, and its chemical conversions and derivatives are quite common. One particular example is that (−)-menthone, a commercially available ketone derivative of (−)-menthol, can easily be converted into a seven-membered lactone (−)-menthide via the straightforward Baeyer–Villiger oxidation.31 Hillmyer and coworkers obtained a poly(menthide) (PM) homopolymer with an Mn value up to 91.000 g mol−1 in a controlled manner using zinc-alkoxide (ZnEt2) as the catalyst.31 In addition, PLA–b-PM–b-PLA triblock copolymers were synthesized from D-, L-, and D,L-lactide, respectively, taking into account the stereochemistry effect on biorenewable self-assembled thermoplastic elastomer applications in the presence of dihydroxy PM, obtained from the ring-opening polymerization (ROP) reaction of (−)-menthide with diethylene glycol.32,33 This versatile triblock copolymer has also been reported to be valuable as hydrolytically degradable pressure-sensitive adhesives.34 Thermoplastic elastomers or pressure-sensitive adhesives were also prepared from PM with tulipalin A, a natural material found in tulip Tulipa gesneriana L., or with γ-methyl-α-methylene-γ-butyrolactone.35,36 Polyurethane film formulations were prepared with three armed PMs for use in bio-based thermoset materials for flexible or rigid foams.30
Early studies with biodegradable poly(menthide) polymers obtained from renewable resources have generally focused on the thermoplastic elastomeric behavior of these polymers in the literature.32–36 Considering the importance of cancer treatment and sustainable polymeric materials, herein, we report, for the very first time, temperature-responsive poly(menthide)–PEG block copolymers synthesized from the ROP of (−)-menthide with a hydrophilic and biocompatible poly(ethylene glycol) macro-initiator to evaluate their potential utility as injectable hydrogels at the local site. Thanks to PEG, these temperature-responsive hydrogels showed injectable fluid characteristics at around 40–44 °C and formed a gel at body temperature, indicating that these systems could be potential candidates for local drug delivery systems.
:
5) mobile phase (Rf: 0.6). A TLC plate was stained with p-anisaldehyde stain and maintained at 60 °C for about 2 minutes to determine the spots since (−)-menthone and (−)-menthide were not UV active. A colorless liquid product was obtained with 86% yield after column chromatography, and crystallization with ethyl acetate/hexane at −22 °C overnight was performed. Finally, sublimation was performed (70%) to overcome the bimodal molecular distribution problems in the ring-opening polymerization.31,35,371H NMR (400 MHz, CDCl3) δ: 0.91 (2 × d, 2 × CH3); 0.98 (d, CH3); 1.25 (m, CH); 1.55 (m, CH); 1.83 (m, 4 × CH); 2.46 (m, CH2); 4.01 (dd, CH). 13C NMR (100 MHz, CDCl3) δ: 17.15, 18.44, 24.00, 30.47, 30.99, 33.37, 37.49, 42.62, 84.74, 174.93. ATR-FTIR (νmax/cm−1): 2962, 2937, 2916, 2874 (CH); 1713 (C
O).
000 rpm −20 °C for 5 minutes, the precipitate was separated by decantation and dried under vacuum. MePEG–PM diblock copolymers 5–7 were also synthesized by the same method as mentioned above. 1H NMR (400 MHz, CDCl3) δ: 0.86 (d, 6H, 2 × CH3); 0.92 (d, 3H, CH3); 1.15 (m, 1H, CH); 1.29 (m, 1H, CH); 1.50 (m, 2H, CH2); 1.80 (m, 1H, CH); 1.92 (m, 1H, CH); 2.05 (m, 1H, CH); 2.29 (m, 1H, CH); 3.36 (s, 3H, –OCH3); 3.63 (s, 4H, 2 × CH2); 4.70 (m, 1H, CH). 13C NMR (100 MHz, CDCl3) δ:17.62, 18.73, 19.82, 28.51, 30.41, 31.20, 32.66, 42.02, 70.61, 78.38, 173.04. ATR-FTIR (νmax/cm−1): 2958, 2880 (CH); 1727 (C
O).
PM–PEG–PM triblock copolymers 9–12 having various molecular weights were also obtained by the above-mentioned protocol, except that PEG was used instead of MePEG. 1H NMR (400 MHz, CDCl3) δ: 0.87 (d, 6H, 2 × CH3); 0.92 (d, 3H, CH3); 1.14 (m, 1H, CH); 1.30 (m, 1H, CH); 1.50 (m, 2H, CH2); 1.80 (m, 1H, CH); 1.91 (m, 1H, CH); 2.07 (m, 1H, CH); 2.30 (m, 1H, CH); 3.63 (s, 4H, 2 × CH2); 4.70 (m, 1H, CH). 13C NMR (100 MHz, CDCl3) δ:17.63, 18.74, 19.84, 28.53, 30.42, 31.22, 32.64, 42.07, 70.69, 78.37, 173.00. ATR-FTIR (νmax/cm−1): 2958, 2876 (CH); 1727 (C
O).
![]() | ||
| Scheme 1 ROP of (−)-menthide catalyzed by stannous octoate in the presence of PEG-based macroinitiators. | ||
MePEG–PM diblock 5–8 and PM–PEG–PM triblock 9–12 copolymers were prepared through the ROP of (−)-menthide 2 using MePEG or PEG as macro-initiators and stannous octoate as the catalyst under an argon atmosphere in a solvent-free medium (Scheme 1 and Table 1). The length of each component ((Me)PEG/PM) during copolymer synthesis was adjusted carefully. The molecular weights of MePEG and PEG macroinitiators used in the synthesis were particularly preferred as 2000 Da. Because high molecular weight PEGs (over ∼10
000 Da) were not suitable for filtration through the human kidney membrane due to the large hydrodynamic radius of PEG in an aqueous phase.14,22,28 Furthermore, the molecular weights of (Me)PEG/PM copolymers were maintained in a specific range (usually less than 10
000 Da) to make them a homogeneous suspension for the gel–sol transition by varying the mole ratio of (−)-menthide while maintaining a constant mole ratio of the initiator, as shown in Table 1. The thermoresponsive phase transition behavior of the copolymers varies depending on the ratio of hydrophobic and hydrophilic blocks in the chain. If the PM repeating units were high in the copolymer, a non-homogeneous suspension of the copolymer in the aqueous medium was obtained due to the overwhelming hydrophobicity. On the other hand, if the PEG segment was too long in the copolymer, the gel–sol transition temperature increased highly and became higher than the physiological temperature, or the copolymer might lose the sol–gel transition due to its high hydrophilic character.22
| Polymera | [M0] : [I0] : [C] |
Time (day) |
M
n,GPC b (Da) |
M
n,NMR c (Da) |
M
n, th d (Da) |
Đ
M b |
RUc | RUd |
|---|---|---|---|---|---|---|---|---|
| a All conversions calculated from the 1H NMR spectra of the copolymers using the methine protons of the unreacted monomer (δ = 4.01 ppm) and copolymer (δ = 4.70 ppm) are >97%. b Molecular weight and distribution were determined by GPC with a RI detector, calibrated with linear polystyrene standards using THF as a mobile phase. c Determined from the 1H NMR spectra of the copolymers using the signals of the (Me)PEG block and PM block. d Calculated from conversion using the feed ratio and molecular weight of the monomer and (Me)PEG. RU: repeating unit. | ||||||||
| MePEG–PM 5 | 1/0.12/0.05 | 1 | 3430 | 2850 | 3420 | 1.12 | 5.0 | 8.3 |
| MePEG–PM 6 | 2/0.12/0.05 | 2 | 4650 | 4280 | 4790 | 1.13 | 13.4 | 16.4 |
| MePEG–PM 7 | 3/0.12/0.05 | 3 | 5770 | 5980 | 6230 | 1.22 | 23.4 | 24.9 |
| MePEG–PM 8 | 5/0.12/0.05 | 4 | 8550 | 8230 | 8900 | 1.21 | 36.6 | 40.5 |
| PM–PEG–PM 9 | 1/0.12/0.05 | 1 | 3950 | 3160 | 3420 | 1.08 | 6.8 | 8.3 |
| PM–PEG–PM 10 | 2/0.12/0.05 | 2 | 5110 | 4090 | 4790 | 1.13 | 12.3 | 16.4 |
| PM–PEG–PM 11 | 3/0.12/0.05 | 3 | 6200 | 5320 | 6240 | 1.12 | 19.5 | 24.9 |
| PM–PEG–PM 12 | 5/0.12/0.05 | 4 | 10 930 |
9030 | 8920 | 1.15 | 41.3 | 40.7 |
MePEG–PM diblock 5–8 and PM–PEG–PM triblock copolymers 9–12 were obtained with high conversion (>97%) and narrow molecular weight distributions (ĐM: 1.08–1.22), and the molecular weight of the block copolymers acquired from the GPC and NMR analyses were found to be quite compatible with the theoretical values. Moreover, the molecular weight of the copolymers increased with an increase in the mole of (−)-menthide, indicating the well-controlled polymerization although longer times are required at higher mole ratios (Table 1). The shift of the retention volume of copolymers to the left in the GPC chromatograms was accurately correlated with increasing molecular weights (Fig. 1). It is noteworthy that there was an absence of unreacted (Me)PEG even before the purification steps of all copolymers (data not shown), proving that the homopolymerization of (−)-menthide 2 did not occur under the selected polymerization conditions.
![]() | ||
| Fig. 1 Chromatographic characterization. Overall GPC chromatograms of diblock copolymers 5–8 (A) and triblock copolymers 9–12 (B). | ||
Di- and triblock copolymers 8 and 12 showed strong bands related to both the PEG and PM blocks in the ATR-FTIR spectrum (Fig. 2B). The –C–H vibrations of PM and the –CH2– vibrations of the (Me)PEG parts of the copolymers overlapped at around 2900 cm−1. The characteristic carbonyl (C
O) stretching vibration shifted from 1713 cm−1 in the (−)-menthide monomer to 1727 cm−1 in both copolymers (Fig. 2B). Similar peak assignments were also obtained in MePEG–PM diblock copolymers 5–7 and PM–PEG–PM triblock copolymers 9–11 in the ATR-FTIR spectra, as shown in the ESI (Fig. S2–S7†).
The resonances in 4.70 ppm (–CH– (i)) and 0.9–2.3 ppm ranges (–CH3 (a, b, and c), –CH2 (d, e, and h), and –CH– (f and g) signals) belong to PM blocks while the signals at 3.36 (k) and 3.63 ppm (l) are characteristic methylene protons (–OCH2CH2O) within the PEG block and methoxy protons (–OCH3) at the end of the PEG block (if MePEG used), respectively, when the 1H NMR spectra of MePEG–PM diblock copolymer 8 and PM–PEG–PM triblock copolymer 12 were examined (Fig. 2C). The shift of the signal at 4.01 ppm belonging to the methine proton (i) in the (−)-menthide monomer to 4.70 ppm in the copolymers indicates the successful ring-opening polymerization in the presence of (Me)PEG. The multiplet peak (m) in the range of 4.15–4.30 ppm represented the α-methylene protons of PM-connecting PEG units (PM-COO-CH2-CH2–) and the protons of the hydroxyl end groups (–OCOCH2CH(CH3)CH2CH2CH(iPr)OH).22,27,28 Various carbon resonances related to PM blocks in copolymers 8 and 12 appeared at 78 ppm (–CH– (i)) in the range of 17–42 ppm (–CH3– (a, b, and c), –CH2– (d, e, and h), and –CH– (f and g) signals), and at 173 ppm (–C
O (j)), respectively, while methylene carbon in the (Me)PEG units resonated at 71 ppm in the 13C NMR spectrum. Particularly, the peaks of methine (i) and carbonyl carbons (j) appearing at 85 ppm and 175 ppm in the monomer (2) shifted to 78 ppm and 173 ppm in copolymers 8 and 12, respectively (Fig. 2D). All of these findings confirmed the successful synthesis of diblock 8 and triblock 12 copolymers. Similar observations were obtained in the 1H and 13C NMR spectra of MePEG–PM diblock 5–7 and PM–PEG–PM triblock copolymers 9–11, as can be seen in the ESI (Fig. S8–S19†).
The resonance order of the –CH and –CH2 groups in the monomer differed in the polymers because of the relieving ring strain as a result of ring opening in the presence of PEG. In order to confirm the above assignments, di- and triblock copolymers were also analyzed by two-dimensional NMR techniques: COSY and HMQC. The off-diagonal peaks at points 1–5 indicate the coupling of neighboring protons of “a and b” with “g”, “c” with “f”, “e” with “i”, “g” with “i”, and “h” with “f” in the 1H–1H COSY 2D NMR spectrum of di- and triblock copolymers (Fig. 3A and S22†). Direct proton-carbon shift correlation of e, f, g, d, and h coded signals indicated as points 1–5, respectively, confirms skeleton connectivities and assignments as mentioned above for di- and triblock copolymers when the HMQC 2D NMR spectrum was examined (Fig. 3B and S23†).
![]() | ||
| Fig. 3 Spectroscopic characterization-2. COSY 2D NMR (A) and HMQC 2D NMR (B) spectra of MePEG–PM diblock copolymer 7. | ||
The thermal features of MePEG–PM diblock and PM–PEG–PM triblock copolymers were investigated by DSC analyses to examine the effect of each block length on Tg and Tm (Fig. 4A and B). PM is an amorphous polymer with a glass transition temperature at −25 (°C).33 On the other hand, MePEG 3 and PEG 4 are semicrystalline polymers that exhibit melting endotherms at 53.2 °C and 54.3 °C, respectively (Fig. 4A and B). It was observed that these copolymers exhibited the characteristic features of both PM and MePEG blocks in the DSC thermograms (Table 2). With the introduction of PM into the PEG chain, the Tm of the PEG unit decreased from 53.2 °C to 52.0 °C in copolymer 5. As the ratio of [M0]
:
[I0] increased, the Tm of the PEG block decreased from 52.0 °C in copolymer 5 to 50.4 °C and then 44.7 °C in copolymers 6 and 8, respectively. Similar behaviors were observed in the triblock copolymers as well. In other words, as the molecular weight of the PM chain in the block copolymer increases, the Tm of the PEG unit decreases from 54.3 °C to 44.4 °C in copolymer 9, 42.4 °C in copolymer 10, and finally 30.6 °C in copolymer 12. The longer the PM block length, the lower the Tm and the degree of crystallinity of (Me)PEG as reflected by the melting enthalpy values (ΔHm). The fact that the presence of PM blocks attached to PEG blocks lowers the melting temperature of PEG units, indicating that the crystallization of the component in copolymers is significantly affected by the presence of the other moiety.22,27,28 The glass transition of copolymers having the lowest PM block length (i.e., MePEG–PM diblock copolymer 5 and PM–PEG–PM triblock copolymer 9) couldn't be observed in the DSC thermograms. However, it was also noted that the Tg values of both diblock and triblock copolymers, which were quite close to that of the PM homopolymer, increased as the PM block length in the copolymer increased.
| Polymer |
T
g a (°C) |
T
m a (°C) |
ΔHa (J g−1) | PEG | PM |
Y
c b (%) |
PEG/PMb (%) | PEG/PMc (%) |
M
n c |
||
|---|---|---|---|---|---|---|---|---|---|---|---|
T
onset b (°C) |
T
max b (°C) |
T
onset b (°C) |
T
max b (°C) |
||||||||
| NO: not observed.a Measured by DSC analysis after the second heating run.b Determined by the TGA analysis. Yc: char yield after 600 °C heating. Tonset: initial decomposition temperature. Tmax: temperature at the maximum mass loss.c Calculated from the 1H NMR spectra of the copolymers. | |||||||||||
| MePEG 3 | NO | 53.2 | 176.5 | 380 | 401 | — | — | 1.5 | 100–0 | 100–0 | 2000–0 |
| MePEG–PM 5 | NO | 52.0 | 96.5 | 373 | 406 | 240 | 283 | 5.9 | 68–32 | 70–30 | 2000–850 |
| MePEG–PM 6 | −27.1 | 50.4 | 73.0 | 381 | 407 | 297 | 315 | 4.7 | 53–47 | 47–53 | 2000–2280 |
| MePEG–PM 8 | −23.5 | 44.7 | 36.8 | 386 | 401 | 299 | 347 | 3.3 | 26–74 | 24–76 | 2000–6230 |
| PEG 4 | NO | 54.3 | 197.9 | 378 | 398 | — | — | 0.2 | 100–0 | 100–0 | 0–2000–0 |
| PM–PEG–PM 9 | NO | 44.4 | 70.2 | 370 | 404 | 224 | 300 | 6.7 | 64–36 | 63–37 | 580–2000–580 |
| PM–PEG–PM 10 | −31.1 | 42.4 | 60.0 | 381 | 404 | 305 | 329 | 6.8 | 57–43 | 49–51 | 1045–2000–1045 |
| PM–PEG–PM 12 | −19.4 | 30.6 | 23.0 | 381 | 400 | 287 | 347 | 3.5 | 24–76 | 22–78 | 3515–2000–3515 |
When the thermal stability behaviors of MePEG–PM diblock and PM–PEG–PM triblock copolymers were investigated by TGA analyses, two-stage degradation behavior was noted (Fig. 4C). The decomposition of the PM block resulting from the breakdown of ester bonds was observed at ∼220–350 °C in the first stage while the degradation of ether bonds in the PEG chains was detected at ∼370–400 °C in the second stage. In addition, the mass% loss values acquired from TGA analyses were consistent with the data obtained from the 1H NMR spectrum (Table 2). Another result revealed from the TGA analyses was that the stability of copolymers increased with the increase of the chain length of the PM block. For instance, while the Tmax value of diblock copolymer 5 (Mn,NMR: 2850 Da) was 283 °C, the Tmax values of diblock copolymers 6 (Mn,NMR: 4280 Da) and 8 (Mn,NMR: 8230 Da) were found to be 315 °C and 347 °C, respectively. Similarly, the Tmax values increased from 300 °C in triblock copolymer 9 (Mn,NMR: 3160 Da) to 329 °C in triblock copolymer 10 (Mn,NMR: 4090 Da), and finally 347 °C in triblock copolymer 12 (Mn,NMR: 9030 Da).
Furthermore, oscillatory rheological measurements of MePEG–PM diblock hydrogel 6 and PM–PEG–PM triblock hydrogel 10 were examined at the determined concentrations to evaluate the mechanical properties (i.e., viscosity and shear stress). As shown in Fig. 5D and E, diblock hydrogel 6 showed higher viscosity and shear stress compared to triblock hydrogel 10, which could be ascribed to the higher concentration of the diblock hydrogel (870 Pa s/Pa at 28.5% vs. 70 Pa s/Pa at 19.5% concentration levels).39 The viscosity and shear stress values of diblock hydrogel 6 gradually decreased from ∼870 Pa s/Pa to 18 Pa s/Pa as the temperature increased until 50 °C indicating that the intermolecular interactions (i.e., hydrogen bonding and dipole–dipole interactions) between the hydrophobic PM blocks decreased, and then a slight increase in the values was observed between 50 °C and 60 °C but this increase was still not enough to turn into a gel form considering the values of initial gel states (Fig. 5D). In contrast, triblock hydrogel 10 exhibited a different behavior from diblock hydrogel 6. In other words, temperature-dependent increases were observed in the values of viscosity and shear stress up to 50 °C, and then a sharp decrease occurred in the range of 50 °C–60 °C. Even though this type of behavior is obtained in systems showing a sol-to-gel transition,39 the curve seen here only refers that the amount of aggregation in the system increased as the temperature increased and then decreased pronouncedly over 50 °C, which proves a gel-to-sol-transition, because our sample was in the gel state at the beginning of the analysis at 4 °C. Of note, both hydrogels exhibited slightly higher gel-to-sol transition temperatures during the rheology analyses as compared to the results in the test tube inverting method (i.e., 50 °C vs. 44 °C). This could be explained by the heating rate or ageing time of the samples prior to analysis by both methods.40,41
It has been widely acknowledged that these kinds of amphiphilic block copolymers self-assemble into micelles consisting of a hydrophobic core (i.e., PM) and a hydrophilic shell (i.e., PEG) in an aqueous solution.42 Accordingly, DLS analyses of the diluted solutions of (Me)PEG–PM block copolymers in water (1.0 wt%) as a function of temperature were performed to understand the microstructure of the thermoresponsive system (Fig. 5F and G). Based on the findings, the size of micellar aggregates increased as the PM unit increased in the block copolymer because of the stronger attraction between hydrophobic PM units, as expected (Table S1†).43 In accordance with the gel to sol transition mechanism, the hydrodynamic sizes of diblock hydrogels 5 and 6 and triblock hydrogel 9 slightly decreased with an increase in the temperature from 25 °C to 50 °C except for somehow slight increase in triblock hydrogel 10 (Table S1,†Fig. 5F, G, and S24†), which was also compatible with the results obtained from rheology measurements (Fig. 5D and E). A temperature higher than 50 °C was also examined for DLS analyses; however, the hydrogels were fully dehydrated at 60 °C within 10 min and precipitated because of the fully compact packing of hydrophobic chains and the removal of absorbed water,16 which also explains why we observe increasing modulus between 50 °C and 60 °C while examining diblock hydrogel 6 (Fig. 5D). In summary, (Me)PEG–PM thermoresponsive core–shell structures form a gel due to the chain packing characteristics of hydrophobic PM and undergo a sol transition upon heating due to the partial dehydration and shrinkage of the PEG chains, leading to a decrease in the micelle volume, reducing the attractive forces between micelles, and finally allows the gel to flow.15,16
| Polymer | Temperature (°C) | Time (day) | pH |
M
n,GPC a (Da) |
Đ
M a |
Loss% a |
Retention volumea (mL) |
|---|---|---|---|---|---|---|---|
| a Determined by GPC analysis. Equation of “[(Man,0 − I) − (Man,t − I)]/(Man,0 − I) × 100” was used for the calculation of Mn loss% of the copolymers. | |||||||
| MePEG–PM 6 | 37 | 0 | 4650 | 1.13 | — | 15.78 | |
| 10 | 6.5 | 4090 | 1.16 | 25.81 | 15.87 | ||
| 30 | 3410 | 1.25 | 57.14 | 15.92 | |||
| 10 | 7.4 | 4120 | 1.15 | 24.42 | 15.87 | ||
| 30 | 3460 | 1.22 | 54.84 | 15.93 | |||
| PM–PEG–PM 10 | 37 | 0 | 5110 | 1.13 | — | 15.62 | |
| 10 | 6.5 | 4730 | 1.18 | 14.45 | 15.65 | ||
| 30 | 3670 | 1.20 | 54.75 | 15.83 | |||
| 10 | 7.4 | 4800 | 1.15 | 11.79 | 15.67 | ||
| 30 | 3700 | 1.19 | 53.61 | 15.85 | |||
Footnote |
| † Electronic supplementary information (ESI) available. See DOI: https://doi.org/10.1039/d2py01452a |
| This journal is © The Royal Society of Chemistry 2023 |