Issue 30, 2024

Total synthesis of [β-HIle]2-nodupetide: effect of ester to amide substitution on its antimicrobial activity

Abstract

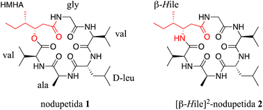
The increasing prevalence of deaths due to multidrug-resistant bacteria (MDRB) in infectious disease therapy has become a global health concern. This led to the development of new antimicrobial therapeutic agents that can combat resistance to pathogenic bacteria. The utilization of natural peptide compounds as potential antimicrobial agents is very promising. Nodupetide, a cyclodepsipeptide with very strong antimicrobial activity against Pseudomonas aeruginosa was isolated from the fermentation of Nodulisporium sp. Unfortunately, one of its residues (3S,4S)-3-hydroxy-4-methylhexanoic acid (HMHA) is not commercially available and the synthesis strategies applied have not been successful. Hence, we synthesized its cyclopeptide analogue [β-HIle]2-nodupetide by replacing HMHA with isoleucine homologue. A combination of solid- and solution-phase peptide synthesis was successfully carried out to synthesize [β-HIle]2-nodupetide with an overall yield of 10.4%. The substitution of HMHA with β-homoisoleucine (β-HIle) changed the ester bond into an amide bond in nodupetide's backbone. The analogue was considerably inactive against Pseudomonas aeruginosa. It can be concluded that the ester bond is crucial for the antimicrobial activity of nodupetide.

Graphical abstract: Total synthesis of [β-HIle]2-nodupetide: effect of ester to amide substitution on its antimicrobial activity

Supplementary files

Article information

Article type
Paper
Submitted
16 Jun 2024
Accepted
23 Jun 2024
First published
09 Jul 2024
This article is Open Access
Creative Commons BY-NC license

RSC Adv., 2024,14, 21778-21785

Total synthesis of [β-HIle]2-nodupetide: effect of ester to amide substitution on its antimicrobial activity

H. I. Farah, U. Supratman, A. T. Hidayat and R. Maharani, RSC Adv., 2024, 14, 21778 DOI: 10.1039/D4RA04401K

This article is licensed under a Creative Commons Attribution-NonCommercial 3.0 Unported Licence. You can use material from this article in other publications, without requesting further permission from the RSC, provided that the correct acknowledgement is given and it is not used for commercial purposes.

To request permission to reproduce material from this article in a commercial publication, please go to the Copyright Clearance Center request page.

If you are an author contributing to an RSC publication, you do not need to request permission provided correct acknowledgement is given.

If you are the author of this article, you do not need to request permission to reproduce figures and diagrams provided correct acknowledgement is given. If you want to reproduce the whole article in a third-party commercial publication (excluding your thesis/dissertation for which permission is not required) please go to the Copyright Clearance Center request page.

Read more about how to correctly acknowledge RSC content.

Social activity

Spotlight

Advertisements