Issue 64, 2022

Identification of a pyrone-type species as the active site for the oxygen reduction reaction

Abstract

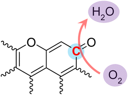
A bicyclic pyrone-type species on oxygen-doped carbon catalysts was identified as the active site for the oxygen reduction reaction in acidic solution. It has much higher activity than that of typical nitrogen-doped carbon catalysts (0.219 e s−1 site−1vs. 0.021–0.088 e s−1 site−1 at 0.6 VRHE). The ortho-carbon atom in the carbonyl ring of the pyrone-type species was revealed as the reactive site by theoretical calculations.

Graphical abstract: Identification of a pyrone-type species as the active site for the oxygen reduction reaction

Supplementary files

Article information

Article type
Communication
Submitted
01 Jun 2022
Accepted
08 Jul 2022
First published
14 Jul 2022

Chem. Commun., 2022,58, 8998-9001

Identification of a pyrone-type species as the active site for the oxygen reduction reaction

Z. Sun, X. Zhang, X. Yang, W. Shi, Y. Huang, Y. Men, J. Yang and Z. Zhou, Chem. Commun., 2022, 58, 8998 DOI: 10.1039/D2CC03093D

To request permission to reproduce material from this article, please go to the Copyright Clearance Center request page.

If you are an author contributing to an RSC publication, you do not need to request permission provided correct acknowledgement is given.

If you are the author of this article, you do not need to request permission to reproduce figures and diagrams provided correct acknowledgement is given. If you want to reproduce the whole article in a third-party publication (excluding your thesis/dissertation for which permission is not required) please go to the Copyright Clearance Center request page.

Read more about how to correctly acknowledge RSC content.

Social activity

Spotlight

Advertisements