Issue 16, 2017

Large d–d luminescence energy variations in square-planar bis(dithiocarbamate) platinum(ii) and palladium(ii) complexes with near-identical MS4 motifs: a variable-pressure study

Abstract

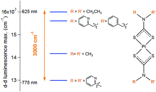
We present the variable-pressure luminescence spectra of crystals of isostructural palladium(II) and platinum(II) complexes with bis-N-benzyl-N′-3-methylpyridyldithiocarbamate (bmpDTC) ligands. The d–d luminescence band maxima Emax for these complexes are compared to others with different peripheral substituents on the dithiocarbamate ligands in the solid state. The comparison reveals significant variations of Emax despite very similar metal coordination geometries. Emax varies by 3000 cm−1 and 1300 cm−1 among four dithiocarbamate complexes of platinum(II) and palladium(II), respectively. Variations of Emax with pressure reveal the effects of intermolecular M⋯H–C interactions on several complexes. ΔEmaxP values are negative for the bmpDTC complexes, unprecedented in the dithiocarbamate family. Static orientation and pressure-induced movement of the C–H bonds involved in intermolecular interactions have a significant effect on Emax and ΔEmaxP, with a stronger impact on platinum(II) complexes than on their palladium(II) analogs.

Graphical abstract: Large d–d luminescence energy variations in square-planar bis(dithiocarbamate) platinum(ii) and palladium(ii) complexes with near-identical MS4 motifs: a variable-pressure study

Supplementary files

Article information

Article type
Paper
Submitted
13 Feb 2017
Accepted
27 Mar 2017
First published
28 Mar 2017

Dalton Trans., 2017,46, 5279-5287

Large d–d luminescence energy variations in square-planar bis(dithiocarbamate) platinum(II) and palladium(II) complexes with near-identical MS4 motifs: a variable-pressure study

S. Poirier, F. Rahmani and C. Reber, Dalton Trans., 2017, 46, 5279 DOI: 10.1039/C7DT00545H

To request permission to reproduce material from this article, please go to the Copyright Clearance Center request page.

If you are an author contributing to an RSC publication, you do not need to request permission provided correct acknowledgement is given.

If you are the author of this article, you do not need to request permission to reproduce figures and diagrams provided correct acknowledgement is given. If you want to reproduce the whole article in a third-party publication (excluding your thesis/dissertation for which permission is not required) please go to the Copyright Clearance Center request page.

Read more about how to correctly acknowledge RSC content.

Social activity

Spotlight

Advertisements