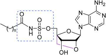
We describe the design, synthesis and biological evaluation of conformationally-locked 5′-acyl sulfamoyl adenosine derivatives as new parasitic inhibitors against Trypanosoma and Leishmania. The conformationally-locked (3′-endo, North-type) nucleosides have been synthesized by covalently attaching a 4′-CH2–O-2′ bridge (Fig. 2) across C2′–C4′ of adenosine in order to reduce the conformational flexibility of the pentose ring. This is designed to decrease the entropic penalty for complex formation with the target protein, which may improve free-energy of stabilization of the complex leading to improved potency. Conformationally-locked 5′-acyl sulfamoyl adenosine derivatives (16–22) were tested against parasitic protozoans for the first time in this work, and showed potent inhibition of Trypanosoma cruzi, Trypanosoma brucei, Trypanosoma rhodesiense and Leishmania infantum with IC50 = 0.25–0.51 μM. In particular, the potent 5′-pentanyl acyl sulfamoyl adenosine derivative 17 (IC50 = 0.25 μM) against intracellular L. infantum amastigotes and Trypanosoma subspecies is interesting in view of its almost insignificant cytotoxicity in murine macrophage host cells (CC50 >4 μM) and in diploid human fibroblasts MRC-5 cell lines (CC50 4 μM). This work also suggests that variable alkyl chain length of the acyl group on the acylsulfamoyl side chain at 5′ can modulate the toxicity of 5′-O-sulfamoylnucleoside analogues. This conformationally-locked sulfamoyl adenosine scaffold presents some interesting possibilities for further drug design and lead optimization.
You have access to this article
Please wait while we load your content...
Something went wrong. Try again?