Issue 11, 2024

Fragmentation of 5-fluorouridine induced by low energy (< 12 eV) electrons: insights into the radiosensitization of DNA

Abstract

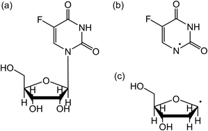
5-Fluorouracil is now routinely used in chemo- and radiotherapy. Incorporated within DNA, the molecule is bound to the sugar backbone, forming the 5-fluorouridine sub-unit investigated in the present work. For the clinical usage of the latter, no information exists on the mechanisms that control the radiosensitizing effect at the molecular level. As low energy (< 12 eV) electrons are abundantly produced along the radiation tracks during cancer treatment using beams of high energy particles, we study how these ballistic secondary electrons damage the sensitizing molecule. The salient result from our study shows that the N-glycosidic bonds are principally affected with a cross-section of approximately two orders of magnitude higher than the canonical thymidine, reflecting to some degree the surviving factor of radiation-treated carcinoma cells with and without 5-fluorouracil incorporation. This result may help in the comprehension of the radiosensitizing effect of the fluoro-substituted thymidine in DNA.

Graphical abstract: Fragmentation of 5-fluorouridine induced by low energy (< 12 eV) electrons: insights into the radiosensitization of DNA

Article information

Article type
Paper
Submitted
29 Sep 2023
Accepted
12 Feb 2024
First published
16 Feb 2024

Phys. Chem. Chem. Phys., 2024,26, 8761-8766

Fragmentation of 5-fluorouridine induced by low energy (< 12 eV) electrons: insights into the radiosensitization of DNA

P. Wierzbicka, H. Abdoul-Carime and J. Kopyra, Phys. Chem. Chem. Phys., 2024, 26, 8761 DOI: 10.1039/D3CP04745H

To request permission to reproduce material from this article, please go to the Copyright Clearance Center request page.

If you are an author contributing to an RSC publication, you do not need to request permission provided correct acknowledgement is given.

If you are the author of this article, you do not need to request permission to reproduce figures and diagrams provided correct acknowledgement is given. If you want to reproduce the whole article in a third-party publication (excluding your thesis/dissertation for which permission is not required) please go to the Copyright Clearance Center request page.

Read more about how to correctly acknowledge RSC content.

Social activity

Spotlight

Advertisements