Issue 67, 2016

Selective palladium-catalyzed carbonylative synthesis of aurones with formic acid as the CO source

Abstract

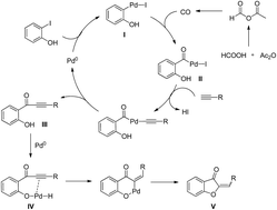
A general and practical strategy has been developed to prepare aurone derivatives. In the presence of the palladium catalyst, 2-iodophenol and terminal alkynes were reacted by using formic acid as the CO source with acetic anhydride as the additive. A variety of aurones were obtained in moderate to good yields. Notably, this is first report on carbonylative synthesis of aurones with formic acid as the CO source.

Graphical abstract: Selective palladium-catalyzed carbonylative synthesis of aurones with formic acid as the CO source

Supplementary files

Article information

Article type
Communication
Submitted
25 May 2016
Accepted
24 Jun 2016
First published
27 Jun 2016

RSC Adv., 2016,6, 62810-62813

Selective palladium-catalyzed carbonylative synthesis of aurones with formic acid as the CO source

X. Qi, R. Li and X. Wu, RSC Adv., 2016, 6, 62810 DOI: 10.1039/C6RA13615J

To request permission to reproduce material from this article, please go to the Copyright Clearance Center request page.

If you are an author contributing to an RSC publication, you do not need to request permission provided correct acknowledgement is given.

If you are the author of this article, you do not need to request permission to reproduce figures and diagrams provided correct acknowledgement is given. If you want to reproduce the whole article in a third-party publication (excluding your thesis/dissertation for which permission is not required) please go to the Copyright Clearance Center request page.

Read more about how to correctly acknowledge RSC content.

Social activity

Spotlight

Advertisements