Issue 12, 2005

The dimethyldioxirane-mediated oxidation of phenylethyne

Abstract

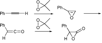
The product pattern found for the dimethyldioxirane-mediated oxidation of phenylethyne strongly depends on the reaction conditions. Dimethyldioxirane generated in situ from caroate (HSO5) and acetone in acetonitrilewater furnishes phenylacetic acid as the main product. With solutions of dimethyldioxirane in acetone, mandelic acid and phenylacetic acid are mainly formed. The relative abundances of the two acids depend on the residual water present in the dimethyldioxirane–acetone solution. Application of thoroughly dried solutions of the reagent effects increased formation of mandelic acid. When phenylethyne is oxidized by dimethyldioxirane transferred into tetrachloromethane, to minimize traces of water even further, oligomeric mandelic acid is obtained. The results are rationalized by the initial formation of phenyloxirene, which is known to equilibrate with phenylformylcarbene and benzoylcarbene. Subsequent Wolff rearrangement produces intermediate phenylketene, which can be trapped by water as phenylacetic acid or suffer from further oxidation to the α-lactone of mandelic acid. The α-lactone can either react with water to yield mandelic acid or, under anhydrous conditions, to yield oligomeric mandelic acid. In addition to mandelic acid and phenylacetic acid phenylglyoxylic acid, benzoic acid and benzaldehyde are observed as reaction products. The formation of phenylglyoxylic acid by transfer of two oxygen atoms to the unrearranged carbon skeleton of phenylethyne followed by oxygen insertion into the aldehydic C–H bond of the intermediately formed phenylglyoxal is discussed. In a second pathway this acid is formed by partial oxidation of mandelic acid. Benzaldehyde and benzoic acid are explained as products of the oxidative degradation of the α-lactone by dimethyldioxirane. Under in situ conditions benzoic acid is also formed by caroate initiated oxidative decarboxylation of phenylglyoxylic acid and/or intermediate phenylglyoxal.

Graphical abstract: The dimethyldioxirane-mediated oxidation of phenylethyne

Article information

Article type
Paper
Submitted
29 Mar 2005
Accepted
26 Apr 2005
First published
11 May 2005

Org. Biomol. Chem., 2005,3, 2310-2318

The dimethyldioxirane-mediated oxidation of phenylethyne

K. Zeller, M. Kowallik and P. Haiss, Org. Biomol. Chem., 2005, 3, 2310 DOI: 10.1039/B504296H

To request permission to reproduce material from this article, please go to the Copyright Clearance Center request page.

If you are an author contributing to an RSC publication, you do not need to request permission provided correct acknowledgement is given.

If you are the author of this article, you do not need to request permission to reproduce figures and diagrams provided correct acknowledgement is given. If you want to reproduce the whole article in a third-party publication (excluding your thesis/dissertation for which permission is not required) please go to the Copyright Clearance Center request page.

Read more about how to correctly acknowledge RSC content.

Social activity

Spotlight

Advertisements