Issue 3, 2018

Relative costs of transporting electrical and chemical energy

Abstract

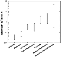
Transportation costs of energy resources are important when determining the overall economics of future energy infrastructure. The majority of long distance energy transmission occurs via merchant ships and pipelines carrying oil or natural gas. In contrast, future energy scenarios often envision vastly altered energy transportation scenarios including very high degrees of grid electrification and widespread installation of hydrogen pipelines. The unit cost of energy transportation varies by over two orders of magnitude. In particular, the costs of electricity and hydrogen transmission are substantially higher than the cost of oil and natural gas transportation. If carbon pricing is to be used to incentivize alternative energy systems, these differences in costs will need to be reduced and used when making meaningful technology comparisons.

Graphical abstract: Relative costs of transporting electrical and chemical energy

Associated articles

Article information

Article type
Analysis
Submitted
17 Jul 2017
Accepted
22 Jan 2018
First published
29 Jan 2018

Energy Environ. Sci., 2018,11, 469-475

Relative costs of transporting electrical and chemical energy

F. H. Saadi, N. S. Lewis and E. W. McFarland, Energy Environ. Sci., 2018, 11, 469 DOI: 10.1039/C7EE01987D

To request permission to reproduce material from this article, please go to the Copyright Clearance Center request page.

If you are an author contributing to an RSC publication, you do not need to request permission provided correct acknowledgement is given.

If you are the author of this article, you do not need to request permission to reproduce figures and diagrams provided correct acknowledgement is given. If you want to reproduce the whole article in a third-party publication (excluding your thesis/dissertation for which permission is not required) please go to the Copyright Clearance Center request page.

Read more about how to correctly acknowledge RSC content.

Social activity

Spotlight

Advertisements