Relative costs of transporting electrical and chemical energy
Abstract
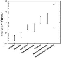
Transportation costs of energy resources are important when determining the overall economics of future energy infrastructure. The majority of long distance energy transmission occurs via merchant ships and pipelines carrying oil or natural gas. In contrast, future energy scenarios often envision vastly altered energy transportation scenarios including very high degrees of grid electrification and widespread installation of hydrogen pipelines. The unit cost of energy transportation varies by over two orders of magnitude. In particular, the costs of electricity and hydrogen transmission are substantially higher than the cost of oil and natural gas transportation. If carbon pricing is to be used to incentivize alternative energy systems, these differences in costs will need to be reduced and used when making meaningful technology comparisons.
- This article is part of the themed collection: 2018 Energy and Environmental Science HOT Articles

Please wait while we load your content...