Synthesis of two ‘heteroaromatic rings of the future’ for applications in medicinal chemistry†
Abstract
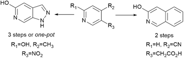
In a computational study, the 1H-pyrazolo[3,4-c]pyridin-5-ol and 2,6-naphthyridin-3-ol heterocycles were identified as unknown heteroaromatic ring systems of potential value for medicinal chemistry. Here we report robust and concise synthetic protocols that provide access to these two scaffolds on a multigram scale.
- This article is part of the themed collection: SBQ-RSC: Celebrating UK-Brazil collaborations
Please wait while we load your content...