Acetyl nitrate mediated conversion of methyl ketones to diverse carboxylic acid derivatives†
Abstract
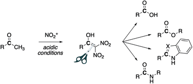
The development of a novel acetyl nitrate mediated oxidative conversion of methyl ketones to carboxylic acid derivatives is described. By analogy to the haloform reaction and supported by experimental and computational investigation we propose a mechanism for this transformation.
- This article is part of the themed collection: Synthetic methodology in OBC

Please wait while we load your content...