Directly linked hydroporphyrin dimers†
Abstract
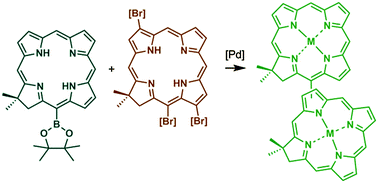
Directly linked hydroporphyrin (chlorin) dimers were accessed regioselectively from bromochlorins. Versatile 15-borylated chlorins were prepared in excellent yield via Miyaura borylation. Suzuki coupling yielded meso–meso-linked homo- and heterodimers, and meso-β-linked dimers. The photophysical and electrochemical properties of the dimers are reported.
- This article is part of the themed collection: 2016 Emerging Investigators
Please wait while we load your content...