Synthesis of a dilithiobutadiene bearing extremely bulky silyl substituents and its reactivity toward functionalized silanes†‡
Abstract
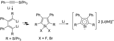
The synthesis and full characterization of 1,4-dilithio-1,4-bis(triisopropylsilyl)-2,3-diphenylbuta-1,3-diene (1b) are reported. This molecule featuring extremely bulky silyl groups at the 1- and 4-positions serves as a precursor for the synthesis of 2,5-bis(triisopropylsilyl)-3,4-diphenyl-1-silacyclopenta-1,3-dienes (siloles) bearing various substituents at the silicon atom (SiR2 = SiH2 (4), SiH(OMe) (5), SiF2 (6), SiBr2 (7), SiBr(OMe) (8)). Importantly, compounds 6 and 7 reacted with lithium to afford 2,5-bis(triisopropylsilyl)-3,4-diphenyldilithiosilole (9). The solid-state molecular structure and solution NMR spectra reveal the formation of an aromatic ring system, as opposed to the precursors 6 and 7, with two Li cations coordinated by the silacycle in η5-fashions. The sterically bulky dilithiosilole 9 can be applied as an important starting material in the pursuit of low-valent silicon species without donor stabilization.
- This article is part of the themed collections: Celebrating International Women’s Day 2026: Women in Inorganic Chemistry, Articles behind our 2025 journal covers and Main Group Element Compounds in Materials and Catalysis

Please wait while we load your content...