Facile modular synthesis of jasmonoyl-l-isoleucine analogs possessing a pyrazolidin-3-one core†
Abstract
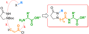
A short and flexible route to pyrazolidin-3-one analogs of the phytohormone (+)-7-iso-jasmonoyl-L-isoleucine is presented. The compounds were assembled from four basic building blocks, namely a pyrazolidin-3-one core, alkyl chain, linker and amino ester or acid. The efficacy of this approach was demonstrated in the synthesis of 11 analogs with variations in all parts of the molecule.
- This article is part of the themed collection: 2024 RSC Advances Popular Advances Collection
 
                




 Please wait while we load your content...
                                            Please wait while we load your content...
                                        
