Lite Version|Standard version

To gain access to this content please
Log in via your home Institution.
Log in with your member or subscriber username and password.
Download

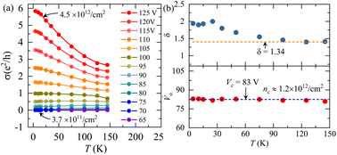
The metal-to-insulator phase transition (MIT) in low-dimensional materials and particularly two-dimensional layered semiconductors is exciting to explore due to the fact that it challenges the prediction that a two-dimensional system must be insulating at low temperatures. Thus, the exploration of MITs in 2D layered semiconductors expands the understanding of the underlying physics. Here we report the MIT of a few-layered MoSe2 field effect transistor under a gate bias (electric field) applied perpendicular to the MoSe2 layers. With low applied gate voltage, the conductivity as a function of temperature from 150 K to 4 K shows typical semiconducting to insulating character. Above a critical applied gate voltage, Vc, the conductivity becomes metallic (i.e., the conductivity increases continuously as a function of decreasing temperature). Evidence of a metallic state was observed using an applied gate voltage or, equivalently, increasing the density of charge carriers within the 2D channel. We analyzed the nature of the phase transition using percolation theory, where conductivity scales with the density of charge carriers as σ ∝ (nnc)δ. The critical exponent for a percolative phase transition, δ(T), has values ranging from 1.34 (at T = 150 K) to 2 (T = 20 K), which is close to the theoretical value of 1.33 for percolation to occur. Thus we conclude that the MIT in few-layered MoSe2 is driven by charge carrier percolation. Furthermore, the conductivity does not scale with temperature, which is a hallmark of a quantum critical phase transition.

Graphical abstract: Insulator-to-metal phase transition in a few-layered MoSe2 field effect transistor

Page: ^ Top