Theoretical insights into non-Arrhenius behaviors of thermal vacancies in anharmonic crystals†
Abstract
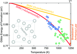
Vacancies are prevalent point defects in crystals, but their thermal responses are elusive. Herein, we formulate a simple theoretical model to shed light on the vacancy evolution during heating. Vibrational excitations are thoroughly investigated via moment recurrence techniques in quantum statistical mechanics. On that basis, we carry out numerical analyses for Ag, Cu, and Ni with the Sutton–Chen many-body potential. Our results reveal that the well-known Arrhenius law is insufficient to describe the proliferation of vacancies. Specifically, anharmonic effects lead to a strong nonlinearity in the Gibbs energy of vacancy formation. Our physical picture is well supported by previous simulations and experiments.

Please wait while we load your content...