Amorphous phase state diagrams and viscosity of ternary aqueous organic/organic and inorganic/organic mixtures†
Abstract
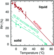
A Dimer Coagulation, Isolation and Coalescence (DCIC) technique is used to probe the phase behaviour and glass transition temperatures of ternary aerosol mixtures. The DCIC technique is used to perform temperature and relative humidity dependent viscosity measurements at viscosities near 5 × 106 Pa s. Measurements include organic–organic and organic–inorganic mixtures composed of sucrose–citric acid and sucrose–sodium nitrate. The data reported here add additional insight into the wide discrepancies in glass transition temperatures reported for pure sodium nitrate. The phase diagram model used in the work of Rothfuss and Petters (Phys. Chem. Chem. Phys., 2017, 19, 6532–6545) is expanded to include multiple solute components. Data and model predictions of the mixtures are in good agreement with the modified model. These measurements are compared with values from Holographic Optical Tweezer (HOT) measurements taken at room temperature. Overall, the viscosities determined from the DCIC and HOT techniques are in good agreement.
- This article is part of the themed collection: 2018 PCCP HOT Articles

Please wait while we load your content...