Issue 8, 2017

Magnetic-field effects in ambipolar transistors based on a bipolar molecular glass

Abstract

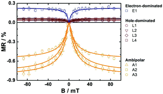
We show for the first time magnetoresistance effects in ambipolar transistors based on a single amorphous organic thin-film. The active material is a low-molecular weight spirobifluorene-bridged bipolar molecular glass, namely N-[7-(N,N-diphenylamino)-9,9′-spirobifluoren-2-yl]-N′-(2,5-di-tert-butylphenyl)-3,4:9,10-perylenetetracarboxylicdiimide (Spiro-DPASP-tBu-phenyl). Depending on the applied drain and gain voltages, we can address distinct regimes for electron-dominated, hole-dominated or ambipolar charge transport and study their individual magnetotransport properties. We obtain positive magnetoresistance in the unipolar charge transport regime arising from magnetic-field dependent bipolaron formation. In contrast, we obtain negative magnetoresistance in the ambipolar charge transport regime based on a magnetosensitive recombination rate for electron–hole pairs. Thus, our devices feature two magnetic-field dependent components with opposite sign which can be systematically controlled by the applied drain and gate voltages. This study shows that ambipolar organic transistors are not only an interesting platform for the investigation of various magnetic field effects, but also represent a promising starting point for the development of multifunctional magneto-optoelectronic applications.

Graphical abstract: Magnetic-field effects in ambipolar transistors based on a bipolar molecular glass

Supplementary files

Article information

Article type
Research Article
Submitted
07 Mar 2017
Accepted
09 Apr 2017
First published
10 Apr 2017

Mater. Chem. Front., 2017,1, 1622-1628

Magnetic-field effects in ambipolar transistors based on a bipolar molecular glass

T. Reichert, G. Hagelstein and T. P. I. Saragi, Mater. Chem. Front., 2017, 1, 1622 DOI: 10.1039/C7QM00104E

To request permission to reproduce material from this article, please go to the Copyright Clearance Center request page.

If you are an author contributing to an RSC publication, you do not need to request permission provided correct acknowledgement is given.

If you are the author of this article, you do not need to request permission to reproduce figures and diagrams provided correct acknowledgement is given. If you want to reproduce the whole article in a third-party publication (excluding your thesis/dissertation for which permission is not required) please go to the Copyright Clearance Center request page.

Read more about how to correctly acknowledge RSC content.

Social activity

Spotlight

Advertisements