Evaluation of the DGT technique for selective measurement of aluminium and trace metal concentrations in an acid drainage-impacted coastal waterway†
Abstract
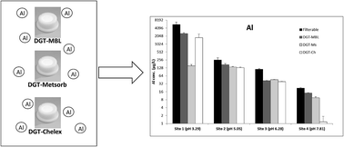
The performance of DGT-Chelex, DGT-Metsorb and DGT-MBL (Chelex–Metsorb mixed binding layer) with open and restricted diffusive layers for trace metal (Al, Cd, Co, Cu, Mn, Ni, Pb, Zn) and oxyanion (As, Mo, Sb, V) measurements, was evaluated in four natural waters with different pH (range 3.29–7.81). In moderately acidic (pH ≈ 5) and circumneutral (pH ≈ 6.3) waters, all three binding layers measured relatively similar concentrations of Al, while in more alkaline waters (pH ≈ 8) DGT-MBL measured higher concentrations than the other two binding layers. The measurements of DGT-Chelex and DGT-MBL for Co, Cu, Ni, Pb and Zn, and DGT-Metsorb and DGT-MBL for As, Sb and V were within 82–119% and not statistically different (p > 0.05) over the pH range 5–8. Mn measurements by DGT-Chelex and DGT-MBL were quite similar (95%) at pH 6.3, while DGT-MBL measured higher concentrations than DGT-Chelex at other pHs. The ratios of measured concentrations with different diffusive layers (Crestricted/Copen) were between 0.78 and 1.12 for all binding layers and no statistical differences (p > 0.05) were observed, except for Al at pH 7.81 and Cu at pH 6.28. DGT-MBL was comparable to DGT-Chelex for the measurement of most trace metals, and to DGT-Metsorb for the measurement of most oxyanions, over the pH range 5.05–7.81. Overall, DGT-MBL is superior to the other tested binding layers because it can simultaneously measure cations and anions, and accurately measure dissolved Al, across the greatest range of environmental conditions.

Please wait while we load your content...