Issue 11, 2015

Non-classical selectivities in the reduction of alkenes by cobalt-mediated hydrogen atom transfer

Abstract

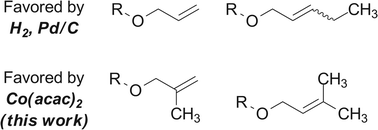
Classical methods for alkene hydrogenation typically reduce less-substituted or more-strained alkenes, or those in proximity to a directing group, most rapidly. Here we describe a cobalt-mediated hydrogenation protocol that provides complementary selectivities in the reduction of several classes of olefins and alkynes. The selectivity of this reduction derives from a hydrogen atom transfer mechanism, which favors the generation of the more stable alkylradical intermediate. We also report the first alkene hydrobromination, hydroiodination, and hydroselenylation by a hydrogen atom transfer process.

Graphical abstract: Non-classical selectivities in the reduction of alkenes by cobalt-mediated hydrogen atom transfer

Supplementary files

Article information

Article type
Edge Article
Submitted
08 Jul 2015
Accepted
19 Aug 2015
First published
21 Aug 2015
This article is Open Access

All publication charges for this article have been paid for by the Royal Society of Chemistry
Creative Commons BY license

Chem. Sci., 2015,6, 6250-6255

Author version available

Non-classical selectivities in the reduction of alkenes by cobalt-mediated hydrogen atom transfer

X. Ma and S. B. Herzon, Chem. Sci., 2015, 6, 6250 DOI: 10.1039/C5SC02476E

This article is licensed under a Creative Commons Attribution 3.0 Unported Licence. You can use material from this article in other publications without requesting further permissions from the RSC, provided that the correct acknowledgement is given.

Read more about how to correctly acknowledge RSC content.

Social activity

Spotlight

Advertisements