A new Li-rich layered cathode with low lattice strain for lithium-ion batteries†
Abstract
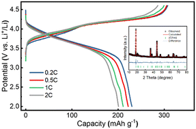
A new layered C2/m oxide, Li2Ni0.2Mn0.4Ru0.4O3 (LNMR), is introduced as a cathode for lithium-ion batteries, which undergoes a low volume variation of 1.5% in the voltage window of 2.0–4.6 V studied via in situ X-ray diffraction. Compared with the contrast sample Li2MnO3, LNMR displays superior capacity, a more stable capacity retention rate, and higher energy density and average discharge voltage.
- This article is part of the themed collection: Electrochemical Energy

Please wait while we load your content...