Issue 23, 2025

A hybrid functional method for screening the p-type defects in wide gap semiconductor α-LiAlTe2

Abstract

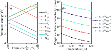
Transparent conducting materials (TCMs) are vital in transparent electronics. Previous investigations show that ternary telluride α-LiAlTe2 possesses a wide band gap of 3.13 eV, a smaller hole-effective mass (0.69m0) and high transmittance in the visible light region [S. Kang et al., Phys. Scr., 2024, 99, 035923]. These characteristic features imply that α-LiAlTe2 is a potential TCM. However, the research on its electrical conductivity is still lacking. In this work, we utilize a hybrid functional method (Heyd–Scuseria–Ernzerhof (HSE06)) to screen the possible binary impurity phase. Under the thermodynamic equilibrium conditions, the regions for the stable phase of α-LiAlTe2 are demarcated. The effects of the intrinsic defects and the possible p-type extrinsic defects are evaluated. We find that the intrinsic defects Liint and Alint can induce n-type conductivity. Substitution defects MgAl, CaAl, NTe, PTe and AsTe are p-type defects. Both MgAl and NTe are shallow acceptor defects with the transition energy levels ε(0/−) at 0.24 eV and 0.21 eV above the valence band maximum (VBM). Under Te-rich and Li-relatively poor conditions, the acceptor defect NTe possesses a lower formation energy of 0.35 eV, implying that defect NTe could be fabricated by using the thermodynamic equilibrium fabrication method. At room temperature, the p-type electrical conductivity exceeds 60 800 S m−1 when the hole density reaches 1020 cm−3. These results indicate that α-LiAlTe2 is a promising candidate for optoelectronic applications.

Graphical abstract: A hybrid functional method for screening the p-type defects in wide gap semiconductor α-LiAlTe2

Supplementary files

Article information

Article type
Paper
Submitted
14 Mar 2025
Accepted
12 May 2025
First published
13 May 2025

Phys. Chem. Chem. Phys., 2025,27, 12381-12388

A hybrid functional method for screening the p-type defects in wide gap semiconductor α-LiAlTe2

S. Fan, J. Wang, Y. Deng and L. Yang, Phys. Chem. Chem. Phys., 2025, 27, 12381 DOI: 10.1039/D5CP01003A

To request permission to reproduce material from this article, please go to the Copyright Clearance Center request page.

If you are an author contributing to an RSC publication, you do not need to request permission provided correct acknowledgement is given.

If you are the author of this article, you do not need to request permission to reproduce figures and diagrams provided correct acknowledgement is given. If you want to reproduce the whole article in a third-party publication (excluding your thesis/dissertation for which permission is not required) please go to the Copyright Clearance Center request page.

Read more about how to correctly acknowledge RSC content.

Social activity

Spotlight

Advertisements