Fragmentation of 5-fluorouridine induced by low energy (< 12 eV) electrons: insights into the radiosensitization of DNA
Abstract
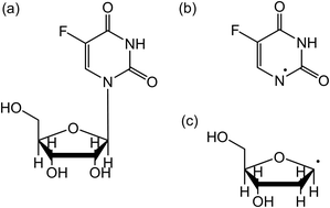
5-Fluorouracil is now routinely used in chemo- and radiotherapy. Incorporated within DNA, the molecule is bound to the sugar backbone, forming the 5-fluorouridine sub-unit investigated in the present work. For the clinical usage of the latter, no information exists on the mechanisms that control the radiosensitizing effect at the molecular level. As low energy (< 12 eV) electrons are abundantly produced along the radiation tracks during cancer treatment using beams of high energy particles, we study how these ballistic secondary electrons damage the sensitizing molecule. The salient result from our study shows that the N-glycosidic bonds are principally affected with a cross-section of approximately two orders of magnitude higher than the canonical thymidine, reflecting to some degree the surviving factor of radiation-treated carcinoma cells with and without 5-fluorouracil incorporation. This result may help in the comprehension of the radiosensitizing effect of the fluoro-substituted thymidine in DNA.
- This article is part of the themed collection: Molecular Dynamics in the Gas Phase

Please wait while we load your content...