Issue 34, 2012

Synthesis and properties of β,β-sp3-hybridized subphthalocyanine analogues

Abstract

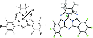
A β,β-sp3-hybridized subphthalocyanine analogue, dibenzosubtriazachlorin, was synthesized, and its significantly split Q band absorptions in longer and shorter wavelength regions relative to those of subphthalocyanines were revealed. The effect of benzo-annulation to a subtriazachlorin structure on the position of the split Q bands as well as the electronic structures was also investigated.

Graphical abstract: Synthesis and properties of β,β-sp3-hybridized subphthalocyanine analogues

Supplementary files

Article information

Article type
Communication
Submitted
23 Jan 2012
Accepted
05 Mar 2012
First published
06 Mar 2012

Chem. Commun., 2012,48, 4100-4102

Synthesis and properties of β,β-sp3-hybridized subphthalocyanine analogues

S. Shimizu, T. Otaki, Y. Yamazaki and N. Kobayashi, Chem. Commun., 2012, 48, 4100 DOI: 10.1039/C2CC30511A

To request permission to reproduce material from this article, please go to the Copyright Clearance Center request page.

If you are an author contributing to an RSC publication, you do not need to request permission provided correct acknowledgement is given.

If you are the author of this article, you do not need to request permission to reproduce figures and diagrams provided correct acknowledgement is given. If you want to reproduce the whole article in a third-party publication (excluding your thesis/dissertation for which permission is not required) please go to the Copyright Clearance Center request page.

Read more about how to correctly acknowledge RSC content.

Social activity

Spotlight

Advertisements