Issue 3, 2010

Supercritical carbon dioxide, a new medium for aerobic alcohol oxidations catalysed by copper-TEMPO

Abstract

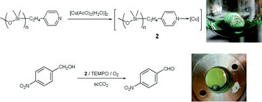
The copper catalysed aerobic oxidation of selected alcohol substrates in supercritical carbon dioxide (scCO2), employing a range of simple copper(II) catalyst compounds, is here described. The copper acetate complex of polydimethylsiloxane (PDMS) functionalised pyridine (1), compound 2, has previously been synthesised and characterised by us and its solubility in scCO2 demonstrated. Due to this solubility we anticipated that the selective aerobic oxidation of alcohols to aldehydes could be homogeneously catalysed by this compound in scCO2 in combination with the co-catalyst 2,2,6,6-tetramethylpiperidin-1-yloxy free radical (TEMPO). Our initial results showed that complete oxidation of 4-nitrobenzyl alcohol was achieved within 4 h of reaction. However, the activities of analogous copper derivatives containing simpler pyridine substituents, [Cu(AcO)2(py)]2 and [Cu(AcO)2(4VP)]2 (4VP = 4-vinylpyridine), were shown to be similar, in spite of their negligible solubility in scCO2. When we repeated the reactions in highly non-polar hexane rather than scCO2 similar observations were made. In both cases, as 2 is soluble and the pyridine analogues are not, a much higher reaction rate was anticipated for 2 as it is the only compound capable of homogeneous catalysis. However, in some cases slightly better activities were observed for [Cu(AcO)2(py)]2 rather than for the PDMS functionalised analogue, 2. Thus, despite poor catalyst solubility typically being very inhibitory in this type of catalytic process, in this system solubilisation of the catalyst is not necessary. In continuation the activity of silica supported copper complexes was therefore investigated. Employing such catalysts the 4-nitrobenzyl and benzyl alcohol substrates were completely oxidised to the corresponding aldehydes in scCO2, this time employing lower catalyst loadings. Other types of alcohol substrate showed more limited conversions however. To conclude, alcohol oxidation in the non-conventional green solvent scCO2, with the benign terminal oxidant, dioxygen, and simple, cheap, easily prepared metal catalyst compounds was demonstrated. This is the first copper-TEMPO catalysed alcohol oxidation system in scCO2 to be described.

Graphical abstract: Supercritical carbon dioxide, a new medium for aerobic alcohol oxidations catalysed by copper-TEMPO

  • This article is part of the themed collection: FIGIPAS 2009

Supplementary files

Article information

Article type
Paper
Submitted
21 Jul 2009
Accepted
13 Oct 2009
First published
16 Nov 2009

Dalton Trans., 2010,39, 900-907

Supercritical carbon dioxide, a new medium for aerobic alcohol oxidations catalysed by copper-TEMPO

M. Herbert, F. Montilla and A. Galindo, Dalton Trans., 2010, 39, 900 DOI: 10.1039/B914788H

To request permission to reproduce material from this article, please go to the Copyright Clearance Center request page.

If you are an author contributing to an RSC publication, you do not need to request permission provided correct acknowledgement is given.

If you are the author of this article, you do not need to request permission to reproduce figures and diagrams provided correct acknowledgement is given. If you want to reproduce the whole article in a third-party publication (excluding your thesis/dissertation for which permission is not required) please go to the Copyright Clearance Center request page.

Read more about how to correctly acknowledge RSC content.

Social activity

Spotlight

Advertisements