Issue 80, 2004

A 1H NMR study of crystal nucleation in solution

Abstract

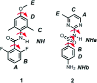
Solution NMR data can provide information about the interactions of molecules in the first stages of crystallisation, and 1H NMR complexation-induced changes in chemical shift can be used to determine high resolution three-dimensional structures of complexes in solution. The concentration-dependent changes in 1H NMR chemical shift of two different compounds have been used to make predictions about how these compounds pack in the crystalline state. The structures of dimer motifs characterised in solution agree very well with the structures of dimers found in the corresponding X-ray crystal structures. Solution NMR experiments therefore provide an experimental tool for probing the organisation of molecules in the solid state.

Graphical abstract: A 1H NMR study of crystal nucleation in solution

Article information

Article type
Paper
Submitted
12 May 2004
Accepted
22 Jul 2004
First published
16 Sep 2004

CrystEngComm, 2004,6, 490-493

A 1H NMR study of crystal nucleation in solution

A. Spitaleri, C. A. Hunter, J. F. McCabe, M. J. Packer and S. L. Cockroft, CrystEngComm, 2004, 6, 490 DOI: 10.1039/B407163H

To request permission to reproduce material from this article, please go to the Copyright Clearance Center request page.

If you are an author contributing to an RSC publication, you do not need to request permission provided correct acknowledgement is given.

If you are the author of this article, you do not need to request permission to reproduce figures and diagrams provided correct acknowledgement is given. If you want to reproduce the whole article in a third-party publication (excluding your thesis/dissertation for which permission is not required) please go to the Copyright Clearance Center request page.

Read more about how to correctly acknowledge RSC content.

Social activity

Spotlight

Advertisements