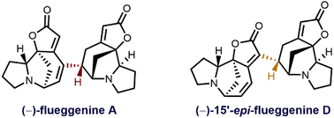
Total synthesis of (−)-flueggenine A and (−)-15′-epi-flueggenine D†
Abstract
Securinega alkaloids, known for their unique structures and neuroplasticity-inducing potential, are promising candidates for treating neurodegenerative diseases such as depression and substance use disorders (SUD). Herein, we delineate the total synthesis of two dimeric Rauhut–Currier (RC) reaction-based securinega alkaloids, (−)-flueggenine A and (−)-15′-epi-flueggenine D. The key step involved a novel reductive Heck dimerization strategy, utilizing a silyl-tethered enone coupling partner to ensure the desired reactivity and stereoselectivity. This dimerization method, combined with established chemistry explored en route to (−)-flueggenines C and D, offers a comprehensive synthetic approach for accessing all known RC-based oligomeric securinega alkaloids.

Please wait while we load your content...