Tiled unitary product states for strongly correlated Hamiltonians
Abstract
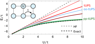
Approximating the electronic wave function for strongly correlated systems remains a major theoretical challenge. Emerging quantum computers can enable new types of wave-function ansatz to be considered, with the potential to overcome the exponential memory storage for strong correlation. I have recently introduced the tiled Unitary Product States (tUPS) ansatz, which successfully combines the preservation of particle-number and spin symmetry with shallow quantum circuits and local qubit connectivity [H. G. A. Burton, Phys. Rev. Res., 2024, 6, 023300]. In this contribution, I investigate the accuracy of this tUPS hierarchy for strongly-correlated Hamiltonians. I consider the picket-fence pairing Hamiltonian and the two-dimensional Hubbard lattice, which collectively describe a range of strong correlation mechanisms found in molecules. Numerical results demonstrate that highly accurate energies can be achieved with a compact approximation for both weak and strong correlation in the Hubbard model, and the repulsive pairing regime. These data provide valuable insights into the applicability of the tUPS hierarchy for strong electron correlation.
- This article is part of the themed collection: Correlated electronic structure

Please wait while we load your content...