Hyperelastic characterization via deep indentation
Abstract
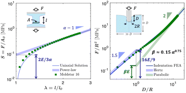
Hyperelastic material characterization is crucial for sensing and understanding the behavior of soft materials—such as tissues, rubbers, hydrogels, and polymers—under quasi-static loading before failure. Traditional methods typically rely on uniaxial tensile tests, which require the cumbersome preparation of dumbbell-shaped samples for clamping in a uniaxial testing machine. In contrast, indentation-based methods, which are non-destructive and can be conducted in situ without sample preparation, remain underexplored. To characterize the hyperelastic behavior of soft materials, deep indentation is required, where the material response extends beyond linear elasticity. In this study, we perform finite element analysis to link the force (F) vs. indentation depth (D) curve with the hyperelastic behavior of a soft incompressible material, using a one-term Ogden model for simplicity. We identify three indentation regimes based on the ratio between indentation depth and the radius (R) of the spherical-tipped cylindrical indenter: (1) the Hertzian regime (D ≪ R) with F = ER0.5D1.516/9 (E is elastic modulus), (2) the parabolic regime (D ≫ R) with F = ED2β, where the indenter radius becomes irrelevant, and (3) an intermediate regime (D ~ R) bridging the two extremes. We find that the Ogden strain-stiffening coefficient (α) increases the parabolic indentation coefficient (β), allowing for the estimation of α from β. Furthermore, we observe that Coulomb friction increases β, potentially masking the effect of strain-stiffening for small α. However, for α > 3, friction has a negligible effect. Finally, our results show good agreement with experimental data: the two power-law regimes are observed in Ecoflex 10, 30, Mold Star 16, and porcine skin. The extrapolation of α and E from deep indentation and uniaxial tension deviates by at most 20% in these materials. These findings unravel a universal parabolic force–depth scaling in deep hyperelastic indentation and demonstrate that deep indentation offers a reliable and practical alternative to tensile testing for in situ extraction of hyperelastic properties in soft materials.
- This article is part of the themed collections: Soft Matter Open Access Spotlight and Soft Matter Emerging Investigators Series

Please wait while we load your content...