Issue 40, 2009

Acid-mediated formation of trifluoromethylsulfonates from sulfonic acids and a hypervalent iodine trifluoromethylating agent

Abstract

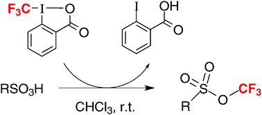
A variety of sulfonic acids have been trifluoromethylated using 1-trifluoromethyl-1,2-benziodoxol-3(1H)-one under mild conditions in good to excellent yields. Initial mechanistic investigations of this reaction show a clean second-order kinetics and only very weak substrate electronic effects.

Graphical abstract: Acid-mediated formation of trifluoromethylsulfonates from sulfonic acids and a hypervalent iodine trifluoromethylating agent

Supplementary files

Article information

Article type
Communication
Submitted
13 Jul 2009
Accepted
07 Sep 2009
First published
14 Sep 2009

Chem. Commun., 2009, 5993-5995

Acid-mediated formation of trifluoromethylsulfonates from sulfonic acids and a hypervalent iodine trifluoromethylating agent

R. Koller, Q. Huchet, P. Battaglia, J. M. Welch and A. Togni, Chem. Commun., 2009, 5993 DOI: 10.1039/B913962A

To request permission to reproduce material from this article, please go to the Copyright Clearance Center request page.

If you are an author contributing to an RSC publication, you do not need to request permission provided correct acknowledgement is given.

If you are the author of this article, you do not need to request permission to reproduce figures and diagrams provided correct acknowledgement is given. If you want to reproduce the whole article in a third-party publication (excluding your thesis/dissertation for which permission is not required) please go to the Copyright Clearance Center request page.

Read more about how to correctly acknowledge RSC content.

Social activity

Spotlight

Advertisements