Issue 18, 2024

Synthesis of rhombohedral Hf0.5Zr0.5O2 and analysis by X-ray diffraction through dynamical diffraction simulations

Abstract

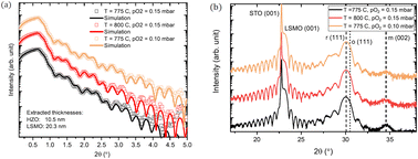
The persistence of ferroelectricity down to nanometer scales in hafnia-based materials makes these compounds promising candidates for future electronic applications. Moreover, theoretical calculations show the existence of several meta-stable phases of hafnia, which means that epitaxial strain engineering might be capable of stabilizing some of these meta-stable phases. In this work, Hf0.5Zr0.5O2 (HZO) was deposited on an epitaxial layer of La0.7Sr0.3MnO3 (LSMO), which was grown on a (100)-oriented SrTiO3 (STO) single crystal substrate. High-resolution X-ray diffraction measurements, combined with dynamical X-ray diffraction simulations of the multilayer, give new insights into the delicate interplay between interfacial layers and the strain state of the LSMO and HZO layers. This sheds new light on the way we can model these kinds of multilayers and potentially investigate strain relaxation through XRD simulations.

Graphical abstract: Synthesis of rhombohedral Hf0.5Zr0.5O2 and analysis by X-ray diffraction through dynamical diffraction simulations

Supplementary files

Article information

Article type
Paper
Submitted
29 May 2024
Accepted
13 Aug 2024
First published
14 Aug 2024
This article is Open Access
Creative Commons BY license

Mater. Adv., 2024,5, 7342-7348

Synthesis of rhombohedral Hf0.5Zr0.5O2 and analysis by X-ray diffraction through dynamical diffraction simulations

K. de Hond, G. Rijnders and G. Koster, Mater. Adv., 2024, 5, 7342 DOI: 10.1039/D4MA00550C

This article is licensed under a Creative Commons Attribution 3.0 Unported Licence. You can use material from this article in other publications without requesting further permissions from the RSC, provided that the correct acknowledgement is given.

Read more about how to correctly acknowledge RSC content.

Social activity

Spotlight

Advertisements