Issue 10, 2025

Synthesis of a dilithiobutadiene bearing extremely bulky silyl substituents and its reactivity toward functionalized silanes

Abstract

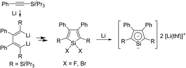
The synthesis and full characterization of 1,4-dilithio-1,4-bis(triisopropylsilyl)-2,3-diphenylbuta-1,3-diene (1b) are reported. This molecule featuring extremely bulky silyl groups at the 1- and 4-positions serves as a precursor for the synthesis of 2,5-bis(triisopropylsilyl)-3,4-diphenyl-1-silacyclopenta-1,3-dienes (siloles) bearing various substituents at the silicon atom (SiR2 = SiH2 (4), SiH(OMe) (5), SiF2 (6), SiBr2 (7), SiBr(OMe) (8)). Importantly, compounds 6 and 7 reacted with lithium to afford 2,5-bis(triisopropylsilyl)-3,4-diphenyldilithiosilole (9). The solid-state molecular structure and solution NMR spectra reveal the formation of an aromatic ring system, as opposed to the precursors 6 and 7, with two Li cations coordinated by the silacycle in η5-fashions. The sterically bulky dilithiosilole 9 can be applied as an important starting material in the pursuit of low-valent silicon species without donor stabilization.

Graphical abstract: Synthesis of a dilithiobutadiene bearing extremely bulky silyl substituents and its reactivity toward functionalized silanes

Supplementary files

Article information

Article type
Paper
Submitted
25 Dec 2024
Accepted
02 Feb 2025
First published
04 Feb 2025

Dalton Trans., 2025,54, 4030-4038

Synthesis of a dilithiobutadiene bearing extremely bulky silyl substituents and its reactivity toward functionalized silanes

K. Münster, S. Kudo, T. Kuwabara, E. Shimamura, S. Furukawa, Y. Yoshida, S. Ishida, T. Iwamoto, K. Tanifuji, Y. Ohki, M. Minoura and M. Saito, Dalton Trans., 2025, 54, 4030 DOI: 10.1039/D4DT03537B

To request permission to reproduce material from this article, please go to the Copyright Clearance Center request page.

If you are an author contributing to an RSC publication, you do not need to request permission provided correct acknowledgement is given.

If you are the author of this article, you do not need to request permission to reproduce figures and diagrams provided correct acknowledgement is given. If you want to reproduce the whole article in a third-party publication (excluding your thesis/dissertation for which permission is not required) please go to the Copyright Clearance Center request page.

Read more about how to correctly acknowledge RSC content.

Social activity

Spotlight

Advertisements