Rapidly convergent quantum Monte Carlo using a Chebyshev projector
Abstract
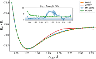
The multireference coupled-cluster Monte Carlo (MR-CCMC) algorithm is a determinant-based quantum Monte Carlo (QMC) algorithm that is conceptually similar to Full Configuration Interaction QMC (FCIQMC). It has been shown to offer a balanced treatment of both static and dynamic correlation while retaining polynomial scaling, although application to large systems with significant strong correlation remained impractical. In this paper, we document recent algorithmic advances that enable rapid convergence and a more black-box approach to the multireference problem. These include a logarithmically scaling metric-tree-based excitation acceptance algorithm to search for determinants connected to the reference space at the desired excitation level and a symmetry-screening procedure for the reference space. We show that, for moderately sized reference spaces, the new search algorithm brings about an approximately 8-fold acceleration of one MR-CCMC iteration, while the symmetry screening procedure reduces the number of active reference space determinants with essentially no loss of accuracy. We also introduce a stochastic implementation of an approximate wall projector, which is the infinite imaginary time limit of the exponential projector, using a truncated expansion of the wall function in Chebyshev polynomials. Notably, this wall-Chebyshev projector can be used to accelerate any projector-based QMC algorithm. We show that it requires significantly fewer applications of the Hamiltonian to achieve the same statistical convergence. We benchmark these acceleration methods on the beryllium and carbon dimers, using initiator FCIQMC and MR-CCMC with basis sets up to cc-pVQZ quality.
- This article is part of the themed collection: Correlated electronic structure

Please wait while we load your content...