Scope and limitations of absolute configuration determination of allenic natural products using the C
C
C stretching VCD signal†
Abstract
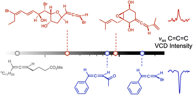
The allene functional group in natural products isolated so far exists in a non-racemic form, but its axial chirality is difficult to elucidate. Allenes exhibit a characteristic antisymmetric C
C
C stretching mode at around 1950 cm−1, and their VCD properties have not been studied in detail. This work, for the first time, applied VCD spectroscopy to allenic natural products and allenic molecules with other asymmetric centers focusing on the antisymmetric C
C
C stretching mode. This vibrational mode yielded a negligibly weak VCD signal for several molecules, but in the presence of electron-withdrawing and/or conjugating substituents, it generated a stronger one. Its sign was found to be influenced by the nature of substituents. These findings should deepen the understanding of the VCD properties of the allene functional group and should be useful for future studies of chiral allenes.

Please wait while we load your content...
C