Ru(iv)–Ru(iv) complexes having the doubly oxido-bridged core with a bridging carbonato or hydrogencarbonato ligand†
Abstract
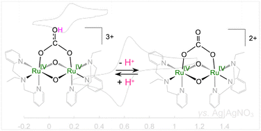
Ru(IV)–Ru(IV) complexes having the doubly oxido-bridged diamond core with a bridging carbonato or hydrogencarbonato ligand, [{RuIV(ebpma)}2(μ-O)2(μ-O2CO(H)m)]Xn (ebpma; ethylbis(2-pyridylmethyl)amine, m = 0; [IV,IV]X2 (X = PF6, ClO4), m = 1; [IV,IV_1H](ClO4)3), were isolated via the oxidation of the corresponding carbonato-bridged Ru(III)–Ru(IV) complex ([III,IV]+), and “[IV,IV](ClO4)2 and [IV,IV_1H](ClO4)3” were structurally characterized. The electrochemical and spectroscopic properties of [IV,IV]2+ and [IV,IV_1H]3+ were investigated both in organic solvents and aqueous solutions. The reactivity toward organic solvents having (a) methyl group(s) and reactions with organic substrates were studied as well. This should be the first time when systematic comparisons of the Ru(IV)–Ru(IV) species and corresponding Ru(III)–Ru(IV) complexes in the same tridentate ligand system were made.

Please wait while we load your content...