Issue 8, 2013

Facile synthesis and regeneration of Mg(BH4)2 by high energy reactive ball milling of MgB2

Abstract

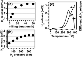
We report direct hydrogenation of MgB2 in a planetary ball mill. Magnesium borohydride, Mg(BH4)2, and various polyhedral borane anion salts have been synthesized at pressures between 50 and 350 bar H2 without the need for subsequent isothermal hydrogenation at elevated temperature and pressure. The obtained products release ∼4 wt% H2 below 390 °C, and a major portion of Mg(BH4)2 transforms back to MgB2 at around 300 °C, demonstrating the possibility of reversible hydrogen storage in an Mg(BH4)2–MgB2 system.

Graphical abstract: Facile synthesis and regeneration of Mg(BH4)2 by high energy reactive ball milling of MgB2

Supplementary files

Additions and corrections

Article information

Article type
Communication
Submitted
10 Sep 2012
Accepted
03 Dec 2012
First published
03 Dec 2012

Chem. Commun., 2013,49, 828-830

Facile synthesis and regeneration of Mg(BH4)2 by high energy reactive ball milling of MgB2

S. Gupta, I. Z. Hlova, T. Kobayashi, R. V. Denys, F. Chen, I. Y. Zavaliy, M. Pruski and V. K. Pecharsky, Chem. Commun., 2013, 49, 828 DOI: 10.1039/C2CC36580D

To request permission to reproduce material from this article, please go to the Copyright Clearance Center request page.

If you are an author contributing to an RSC publication, you do not need to request permission provided correct acknowledgement is given.

If you are the author of this article, you do not need to request permission to reproduce figures and diagrams provided correct acknowledgement is given. If you want to reproduce the whole article in a third-party publication (excluding your thesis/dissertation for which permission is not required) please go to the Copyright Clearance Center request page.

Read more about how to correctly acknowledge RSC content.

Social activity

Spotlight

Advertisements