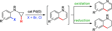
Palladium(0)-catalyzed cyclopropane C–H bond functionalization: synthesis of quinoline and tetrahydroquinoline derivatives†
Abstract
A series of
- This article is part of the themed collection: C-H Functionalization
* Corresponding authors
a
Centre for Catalysis Research & Innovation, Department of Chemistry, University of Ottawa, 10 Marie Curie, Ottawa, Ontario, Canada
E-mail:
srous100@uottawa.ca
A series of
S. Rousseaux, B. Liégault and K. Fagnou, Chem. Sci., 2012, 3, 244 DOI: 10.1039/C1SC00458A
To request permission to reproduce material from this article, please go to the Copyright Clearance Center request page.
If you are an author contributing to an RSC publication, you do not need to request permission provided correct acknowledgement is given.
If you are the author of this article, you do not need to request permission to reproduce figures and diagrams provided correct acknowledgement is given. If you want to reproduce the whole article in a third-party publication (excluding your thesis/dissertation for which permission is not required) please go to the Copyright Clearance Center request page.
Read more about how to correctly acknowledge RSC content.
Fetching data from CrossRef.
This may take some time to load.
Loading related content