Issue 51, 2025

Gold-catalyzed ligand-controlled annulation for the construction of indoles and furoindoles

Abstract

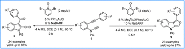
We report herein a gold-catalyzed ligand-dependent cyclization strategy that enables divergent synthesis of indole and furoindole scaffolds from ynamide precursors. This switchable transformation demonstrates remarkable selectivity through rational ligand design: employing triphenylphosphine as an ancillary ligand facilitates direct indole formation, whereas the Me4tBuXPhos ligand promotes a tandem annulation process to construct the privileged furoindole architecture. Besides, the protocol features mild conditions, good functional group tolerance, and moderate to excellent yields.

Graphical abstract: Gold-catalyzed ligand-controlled annulation for the construction of indoles and furoindoles

Supplementary files

Article information

Article type
Communication
Submitted
26 Apr 2025
Accepted
17 May 2025
First published
21 May 2025

Chem. Commun., 2025,61, 9294-9297

Gold-catalyzed ligand-controlled annulation for the construction of indoles and furoindoles

X. Jia, Y. Kan, W. Li, W. Kong, W. Gao, M. Chen, L. Ye and T. Li, Chem. Commun., 2025, 61, 9294 DOI: 10.1039/D5CC02328A

To request permission to reproduce material from this article, please go to the Copyright Clearance Center request page.

If you are an author contributing to an RSC publication, you do not need to request permission provided correct acknowledgement is given.

If you are the author of this article, you do not need to request permission to reproduce figures and diagrams provided correct acknowledgement is given. If you want to reproduce the whole article in a third-party publication (excluding your thesis/dissertation for which permission is not required) please go to the Copyright Clearance Center request page.

Read more about how to correctly acknowledge RSC content.

Social activity

Spotlight

Advertisements