On the notion of strong correlation in electronic structure theory
Abstract
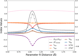
Strong correlation has been said to have many faces, and appears to have many synonyms of questionable suitability. In this work we aim not to define the term once and for all, but to highlight one possibility that is both rigorously defined and physically transparent, and remains so in reference to molecules and quantum lattice models. We survey both molecular examples – hydrogen systems (Hn, n = 2, 4, 6), Be2, H–He–H, and benzene – and the half-filled Hubbard model over a range of correlation regimes. Various quantities are examined including the extent of spin symmetry breaking in correlated single-reference wave functions, energetic ratios inspired by the Hubbard model and the Virial theorem, and metrics derived from the one- and two-electron reduced density matrices (RDMs). The trace and the square norm of the cumulant of the two-electron reduced density matrix capture what may well be defined as strong correlation. Accordingly, strong correlation is understood as a statistical dependence between two electrons, and is distinct from the concepts of “correlation energy” and more general than entanglement quantities that require a partitioning of a quantum system into distinguishable subspaces. This work enables us to build a bridge between a rigorous and quantifiable regime of strong electron correlation and more familiar chemical concepts such as anti-aromaticity in the context of Baird’s rule.
- This article is part of the themed collection: Correlated electronic structure